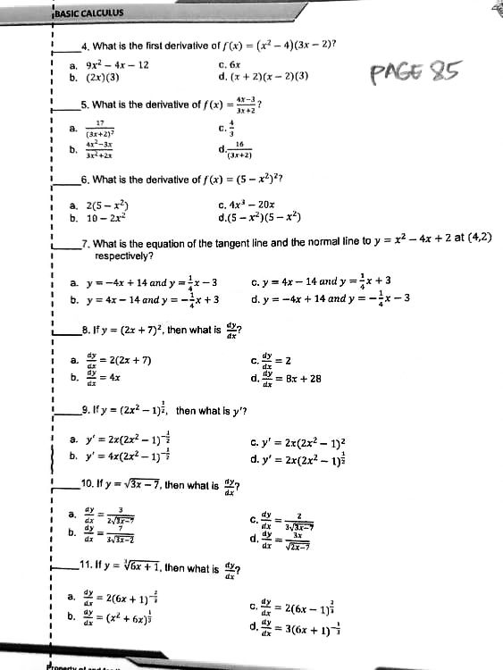
Question: BASIC CALCULUS 4. What is the first derivative of / (x) = (x - 4) (3x - 2)? a, 9x- 4x - 12 C. GX


BASIC CALCULUS 4. What is the first derivative of / (x) = (x - 4) (3x - 2)? a, 9x- 4x - 12 C. GX b. (2x) (3) d. (x + 2)(x - 2)(3) PAGE 85 5. What is the derivative of / (x) = 1 47 * 1X +2 17 (31+2)7 C. = 16 31- +21 d.- 6. What is the derivative of / (x) = (5 - x2)27 a. 2(5-x2) c. 4x3 - 20x b. 10 - 2x2 d.(5 -x)(5-x3) 7. What is the equation of the tangent line and the normal line to y = x - 4x + 2 at (4,2) respectively? a. y = -4x + 14 andy = =x -3 c. y = 4x - 14 and y =7x + 3 b. y = 4x - 14 and y = -=x + 3 d. y = -4x + 14 and y = = =x - 3 8. If y = (2x + 7)2, then what is #x7 By = 2(2x + 7) 1 = 2 != 4x d. ! = Br + 28 9. Ify = (2x2 - 1)i, then what is y"? a. y' = 2x(2x] - 1) i c. y' = 2x(2x2 - 1)2 b. y' = 4x(2x] - 1)7 d. y' = 2x(2x] - 1); 10. If y = v3x - 7, then what is "X7 b. WII-1 d. dy 11. If y = Vix + 1. then what is TX7 2 = 2(6x + 1)- 0. -2 = 2(6x - 1ji b. "= (x+ 62)i d. "x = 3(6x + 1) iNAME: GRADE & SECTION PAGE 84 General Instructions: This is a Quiz worth 30 points. Cut this part (broken lines) and staple them properly and submit them in school or (this is encouraged) take clear pictures or scan your answer sheets and upload them to GENYO. Don't Forget to write your name grade and section on the upper left comer of the next pages. ALL final answers should be written in blue or black ink only. Strictly NO any kind of ERASURE or change in answer, NO superimposition on final answers. I. TRUE or FALSE: Read carefully the statements below. Write TRUE if the statement is always correct, otherwise, FALSE. Use the space provided before each item. (1 pteach) 1. The derivative of a sum is the sum of the derivatives. 2. The derivative of a quotient is the quotient of the derivatives. 3. The derivative with respect to x of any constant multiple of the exponential function y = ex is equal to itself. 4. If / (x) is any polynomial of degree 10, then the 9" derivative of f (x) is zero. 5. If f'(0) = 0, then f (0) = 0. 6. The derivative of In(cx), where c is a constant, is equal to c . 7. Ify = 6e5, then = = 30e*. B. The derivative of a product will never be equal to the product of derivatives. 9. If y = cos x, then the no derivative of y with respect to x is equal to itself if n is a natural number divisible by 4. 10. If f"(c) = 0, then f'(c) = 0 for any real number c. II. MULTIPLE CHOICE: Choose the correct alternative that satisfies the given question. Write your answers in CAPITAL LETTERS on the blanks provided for. If there is no answer from the given choices, write NA. Some numbers may require showing your solution. 1. What is the slope of the tangent line to the curve y = 3x -5 at point (-1,-2)? a . -5 b. -6 C.-7 d. -8 2. What is the equation of the tangent line to the curve y = x - 2x + 1 at point (3,4)? a. y = 2x -2 C. y= r' - 2x-+x b. y= -4x + 8 d. y = 4x - 8 3. What is the first derivative of / (x) = 4x3 - 2x
Step by Step Solution
There are 3 Steps involved in it
Get step-by-step solutions from verified subject matter experts
