Question: Big Mike's Application Development Plan You represent one of the four departments at Big Mike's Sporting Goods. Your job, along with your team, is to








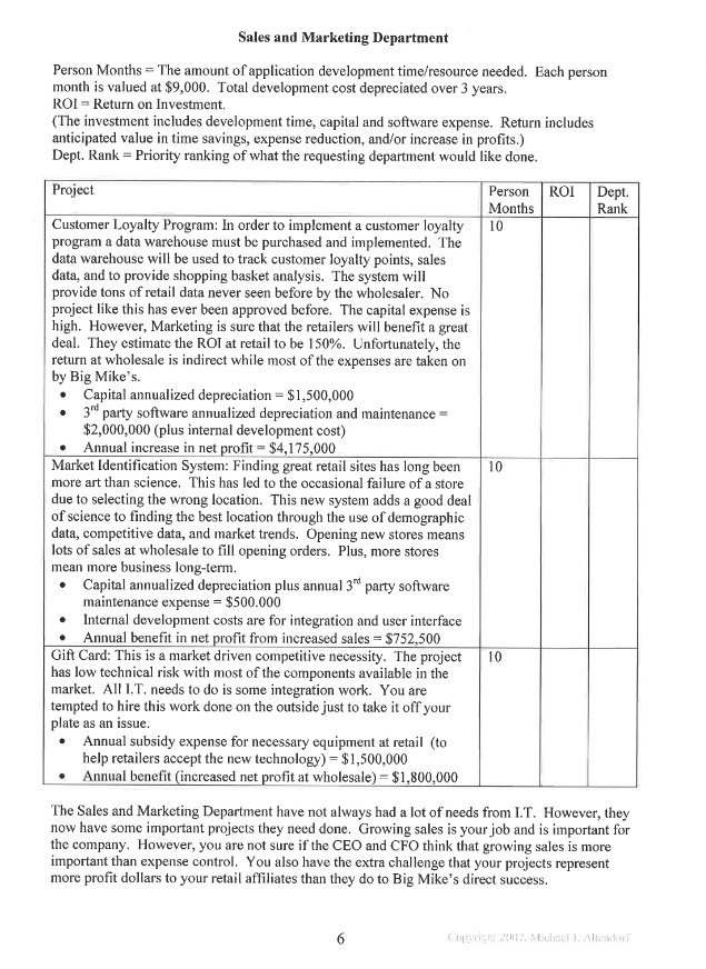
Big Mike's Application Development Plan You represent one of the four departments at Big Mike's Sporting Goods. Your job, along with your team, is to plead the case for your department's recommendations for application development projects to be completed during the upcoming calendar period. The team with the most person months awarded for their projects will win. You must build and successfully present your case in front of the CEO and the Steering Committee. Here are some additional points to keep in mind: Application Development Projects are estimated in person months (calculated as the sum of number of developers assigned to a project times the amount of time each developer will need to complete their portion of the project work). Projects are not always delivered according to estimate. Some projects suffer from scope creep, some get delayed in testing and others just did not start with an accurate estimate. Plan your strategy accordingly. Select the projects from your department that you want to present to the steering committee for approval. Use the information provided to prepare your points for project justification and defend your position with the CEO and steering committee. Projects not approved for the next calendar period may be resubmitted in the future. There are a total of 40 person months available for allocation for the next period (I.T. development resources available for allocation). . Be succinct with your presentation of projects for approval. Provide the rank order of importance of projects you are submitting for approval. Also provide the ROI and several key points why the steering committee should approve your recommended projects. There are three business units requesting application development time at Big Mike's Sporting Goods. They include the Inventory Management Department, Sales and Marketing, and the Finance Department. The CFO feels that I.T. knows best how to allocate I.T. projects and requested I.T. to make recommendations as well. While you represent one of four departments seeking application development resources, you also serve on the I.T. Steering Committee. You need to review every departments requests and be prepared to ask questions about the projects for which they seek approval. You seek to have your projects approved, but you will vote on all projects along with the other steering committee members. Background Big Mike's Sporting Goods is a wholesaler of sporting goods products to independent sporting goods retailers. These retailers affiliate with Big Mike's to take advantage of volume pricing and distribution services. Big Mike's stocks over 40,000 items in order to offer a great selection of products, Big Mike's also provides assistance to the retailers with other elements of running their businesses. They provide marketing and advertising programs. Big Mike's also provides point-of-sale computer systems. The independent Copyright 2007. Michael Allendorf retailers are not obligated to purchase services from Big Mike's. Almost all of the affiliated sporting goods retailers use the Big Mike's name as their brand identity. Outside analysts agree that there are some pressing issues facing Big Mike's. Big box retailers are popping up everywhere, intensifying competitive pressure. Big Mike's really needs to build sales as they have been relatively flat for several years. A focus on sales is essential to take back some lost market share. In addition to building sales, strong expense control is always critical given Big Mike's razor thin wholesale margins. Competitors believe that Big Mike's decided to focus on the retail end of their business. Even though Big Mike's is a wholesaler, their retail affiliates are their only customers. The success of their retail affiliates drives the success of Big Mike's. However, Big Mike's does not have ownership in their retail affiliates and does not directly share in the retail profits. They only make money on their wholesale sales and from fees generated for providing services. Here is a summary of the requests/recommendations from each of the four departments. They each have three application development projects to present for selection. 1) Inventory Management Department a) Inventory Maintenance System: This system is used to start new items in inventory. Key functionality includes the ability add, change or delete inventory data. This data includes vendor information, cost, description, case pack, shipping unit, weight and other key item information. The Inventory Maintenance System feeds data to many other systems and has been around for almost 30 years. The system requires some manual effort, which is time consuming and prone to errors. When errors occur, they can negatively impact many other systems like invoicing. The system is somewhat restrictive as far as adding new data fields. This will particularly be a problem in the future when RFID (Radio Frequency Identification) data may need to be added to the system. b) Import Management: There is no existing import management system. To remain competitive, Big Mike's has been globally sourcing a growing number of products. A third party company has been handling the logistics. However, the business has been changing. Many of the traditional smaller items imported by Big Mike's are casy to handle through a third party logistics company, but growth categories in stationary home exercise products like Treadmills and multi-station weight machines pose new problems. These categories are bulky and expensive to handle. The third party provider is not cost effective and may not be able to handle the projected 25 percent growth per year anticipated for these categories. This project could be delayed until the next period, but doing so is risky and leaves no room for development delays without impacting the orders for the next season's items. c) Item Synchronization: This project is part of an industry initiative to synchronize or standardize product information. Item synchronization will reduce data errors in the supply chain creating substantial savings from unnecessary error related expenses. Big Mike's is one of the retail companies leading the charge for item synchronization. Many of their vendor partners are already working on the 2 Chpyright 2007. Michael Alendor project and they are counting on Big Mike's to create the systems for the new data formats. This project would compliment a new Inventory Maintenance System, allowing for seamless, error free electronic loading and updating of data. The combination of the two systems represents even more incremental savings. 2) Sales and Marketing a) Customer Loyalty Program: This project would enable affiliated retailers to offer a loyalty program to their customers. There is no doubt that loyalty programs have been successful in building sales and Big Mike's retail affiliates have lobbied hard for Big Mike's support. This project is particularly challenging because an investment in a new data warehouse will be capital intensive. Most of the Return on Investment (ROI) will be gained at retail, but the big expense will fall on Big Mike's. Marketing is convinced that this program is key to the long- term survival of Big Mike's retail affiliates in an ever increasing competitive retail environment. This could be just the edge they need to greatly improve the success of their retail affiliates. b) Market Identification System (MIS): The MIS is an exciting opportunity. This system will greatly increase the accuracy of identifying markets for new retail affiliate stores of Big Mike's. There is no doubt that the three biggest components of retail success are location, location and location. The MIS system will help Big Mike's grow market share at a faster rate with far less risk of site failure. This will definitely attract new retail customers to Big Mike's, growing wholesale sales by adding successful new stores. This system will make a huge impact on future revenue growth. c) Gift Card Program: One of the hottest sales drivers this last holiday season was the gift card. The popularity of gift cards has been sky rocketing for the last three years. Sales and Marketing at Big Mike's have been recommending an investment in a gift card system since they started to take off three years ago. Now just about every retailer has them. Big Mike's is feeling pressure from their affiliated retailers and from the end consumers. They are losing business because their affiliated stores can not accept gift cards. In a highly competitive market, no good business person could tolerate something that turns customers away. Customers like gift cards and Big Mike's does not provide them. Sales and Marketing can not let this project get voted down again. Gift cards create a sales opportunity and would close a negative perception building amongst customers. There is one roadblock to success. Marketing will need to get all of the independent stores to implement the technology necessary to run this program at retail. 3) Finance a) Sarbanes Oxley (SOX) Compliance: The board of directors audit committee has strongly recommended this project to put Big Mike's in compliance with SOX legal requirements. Finance has to make this project happen, as it is the law. Fines could total as much as $500,000 per year. Finance needs lead-time on completing this project so they can test the system through outside auditors. 3 Copyright 2017. Michael J. Altendor Technically, this project could be done during the next period, but then there would be little time for outside auditors to review the output before the legal deadline is reached. b) Upgrade the Accounting System: The accounting system used by Big Mike's is a third party software package. The third party package has had an upgrade available for four years. They will no longer support the release level that Big Mike's currently operates. No problems are anticipated with the software. However, the new upgrade would improve accuracy and productivity in the Accounting Department Accounting also insists that the upgrade would help with SOX compliance. This upgrade was actually approved last year as a project, but got delayed when an emerging business need caused reallocation of development time. c) Invoice Scanning: This project will allow for the scanning of invoices for electronic storage and retrieval. Many invoices are already transmitting electronically (EDI), but thousands of invoices from smaller companies still arrive on paper. The Finance Department contracted with an out-source service five years ago to scan invoices. They spend $200,000 per year with this company. Bringing the scanning in house would save this money and the project will pay for itself in 18 months. 4) Information Technology (I.T.) a) Outbound Scanning: 1.T. knows the technology needs of Big Mike's. They have identified an opportunity to automate a significant function in their warehouse operations. By utilizing bar-codes and scanners, the picking and filling of orders can be done more quickly. This process would also reduce training time and reduce errors. Scanning will be a big-time money saver for the company. More accurate order till will also increase sales as affiliated retailers would stop using secondary sources of supply and give Big Mike's a larger percentage of their business. Wow! Saving expenses and building sales creates a compelling case for this project. I.T. is confident that distribution will love this new system if the steering committee selects the project for approval. b) Replenishment System: I.T. has identified another potential big win for Big Mike's. At a recent trade show they found a great new replenishment system which is guaranteed to reduce inventory while improving their fill rate (the percentage of an order that is filled increases with a reduction in inventory stock outs). Again, this is another opportunity to free up cash for the Big Mike's while reducing inventory expense and investment. The improved fill rate will also improve sales. The I.T. group is excited about finding this software and can not wait to share the good news with the folks in inventory management. c) Web-based Human Resources (HR) Management: The HR department never gets any development time approved. They have been desperate for a new system to manage employee data, time clock and payroll. Compared to I.T. developing this project from scratch, the web-based system is relatively easy and cost effective to implement. Plus, I.T. has been itching to learn more about web-based applications. This could lead to future I.T. savings and satisfied business units. 4 Copyright 20007. Michael J. Alundari ROI Rank Inventory Management Department Person Months = The amount of application development time/resource needed. Each person month is valued at $9,000. Total development cost depreciated over 3 years. ROI = Return on Investment. (The investment includes development time, capital and software expense. Return includes anticipated value in time savings, expense reduction, and/or increase in profits.) Dept. Rank - Priority ranking of what the requesting department would like done. Project Person Dept Months Inventory Maintenance: Most of the savings to generate ROI comes 10 from saving manual effort on the part of staff, but no reduction in headcount is anticipated. This system is way over due for replacement. The system restricts further automation and innovation because it lacks flexibility due to an old architecture. Capital annualized depreciation = $65,000 Annual savings in productivity (with no headcount reduction planned) = $113,000 Import Management: This is high priority. You have to be able to 10 handle the growing sales of large/bulky items. You have no other option for handling the products. The ROI is based on saving the expense of your third party logistics partner. Measuring the impact on sales is difficult Up until now you have been getting the sales. However, not completing the project may mean giving up the sales altogether. You simply can not move, track, and bill for the product with your current systems. Capital and 3d party software annualized depreciation= $750,000 Internal development is needed to complete the coding Annual benefit from increased bottom line profits by being able to continue to grow sales = $897,000 Item Synchronization: This is very important to improve accuracy and 10 efficiency. ROI is high partly because there are no capital requirements, just programming. You are a leader in making this happen in the industry. Annual benefit from error reduction = $40,000 The Inventory Management Department has been allocated 20 person months of development time every period for as long as you can remember. With any luck you can get one extra project approved and get all three of your projects going. 5 Copyright 2007 Mic Altendo Sales and Marketing Department Person Months = The amount of application development time/resource needed. Each person month is valued at $9,000. Total development cost depreciated over 3 years. ROI = Return on Investment, (The investment includes development time, capital and software expense. Return includes anticipated value in time savings, expense reduction, and/or increase in profits.) Dept. Rank = Priority ranking of what the requesting department would like done. Project Person ROI Dept. Months Rank Customer Loyalty Program: In order to implement a customer loyalty 10 program a data warehouse must be purchased and implemented. The data warehouse will be used to track customer loyalty points, sales data, and to provide shopping basket analysis. The system will provide tons of retail data never seen before by the wholesaler. No project like this has ever been approved before. The capital expense is high. However, Marketing is sure that the retailers will benefit a great deal. They estimate the ROI at retail to be 150%. Unfortunately, the return at wholesale is indirect while most of the expenses are taken on by Big Mike's. Capital annualized depreciation = $1,500,000 3 party software annualized depreciation and maintenance $2,000,000 (plus internal development cost) Annual increase in net profit - $4,175,000 Market Identification System: Finding great retail sites has long been 10 more art than science. This has led to the occasional failure of a store due to selecting the wrong location. This new system adds a good deal of science to finding the best location through the use of demographic data, competitive data, and market trends. Opening new stores means lots of sales at wholesale to fill opening orders. Plus, more stores mean more business long-term. Capital annualized depreciation plus annual 3" party software maintenance expense = $500.000 Internal development costs are for integration and user interface Annual benefit in net profit from increased sales = $752,500 Gift Card: This is a market driven competitive necessity. The project 10 has low technical risk with most of the components available in the market. All I.T. needs to do is some integration work. You are tempted to hire this work done on the outside just to take it off your plate as an issue. Annual subsidy expense for necessary equipment at retail (to help retailers accept the new technology) $1,500,000 Annual benefit (increased net profit at wholesale) = $1,800,000 The Sales and Marketing Department have not always had a lot of needs from I.T. However, they now have some important projects they need done. Growing sales is your job and is important for the company. However, you are not sure if the CEO and CFO think that growing sales is more important than expense control. You also have the extra challenge that your projects represent more profit dollars to your retail affiliates than they do to Big Mike's direct success. 6 Copright 2. Mhe. Altendor Finance Department Person 10 Person Months = The amount of application development time/resource needed. Each person month is valued at $9,000. Total development cost depreciated over 3 years. ROI = Return on Investment. (The investment includes development time, capital and software expense. Return includes anticipated value in time savings, expense reduction, and/or increase in profits.) Dept. Rank = Priority ranking of what the requesting department would like done. Project ROI Dept. Months Rank Sarbanes Oxley: Who can argue with the law? This project needs to 10 be done. The only question, should it be done this period or next? There are a lot of great projects being presented. You would feel more comfortable leaving ample testing time for this project both internally and with the external auditors. There may be no ROI to calculate as this system only represents incremental costs without dollar benefits. Upgrade Accounting System: Time has run out and the current level of software will no longer be supported. ROI comes from some gain in productivity. Plus, this project can be done for only 10 person months this period only if done with the SOX project. If done separately, it will be 15 person months in the future. 3rd party annualized upgrade expense = $50,000 No incremental capital is required Internal development time is for customization and integration While difficult to measure, estimated annual increase in productivity is $84,000 Invoice Scanning: This one saves the company real dollars and therefore the ROI is solid. I.T. is not aware yet, but you already told your out-source company that you will not need their services after next year since you will be developing the capability internally. Capital annual depreciation + 3 party annual software expense = $150,000 Internal development is for the user interface and integration Annual savings from outsource termination = $200,000 Finance has not had many I.T. projects approved in recent periods. You feel that the company owes your department the opportunity to address your I.T. needs. You have let others go ahead of you in the past. 10 7 Copyright 2007. Michael I. Allende I.T. Department Person Months = The amount of application development time/resource needed. Each person month is valued at $9,000. Total development cost depreciated over 3 years. ROI = Return on Investment. (The investment includes development time, capital and software expense. Return includes anticipated value in time savings, expense reduction, and/or increase in profits.) Dept. Rank = Priority ranking of what the requesting department would like done. Project Person ROI Dept. Months Rank Outbound Scanning: I.T. is really excited about this project. You 10 know it will be a winner. The technology is new and will be fun to learn and implement. The ROI is solid and will represent real dollar savings. All you need to do is convince distribution folks that it is time for this type of system. Capital annualized expense (scanning terminals) = $1,500,000 3rd party software annualized depreciation and maintenance = $200,000 in addition to development costs) Annual savings on labor and value of improved accuracy is estimated at $3,230,000 Replenishment System: This project is even more exciting than the 10 scanning project. This will require a Unix based server and the company currently does not have any Unix servers. Even with the introduction of a new technology, the ROI is outstanding. Capital annualized depreciation = $30,000 3 party software annualized depreciation and maintenance = $2,000,000 + (internal development primarily for integration) Annual value of improved inventory management = $2,740,000 Web-based HR Management System: This project also would 10 introduce new technology to the team. You know this will be very useful as many other solutions can be accomplished with web-based systems that would be of great benefit to Big Mike's. Annual fee for using web-based system = $80,000 Internal development for data base and integration Annual improvement in productivity = $123,500 IT knows their stuff when it comes to the implementation of technology. Your team has done the research and these projects will all be big contributors to improving company results. You know that you can appeal to the CEO with the high ROI's. 8 8 Copyright 2017. Michael J. Ale Big Mike's Application Development Plan You represent one of the four departments at Big Mike's Sporting Goods. Your job, along with your team, is to plead the case for your department's recommendations for application development projects to be completed during the upcoming calendar period. The team with the most person months awarded for their projects will win. You must build and successfully present your case in front of the CEO and the Steering Committee. Here are some additional points to keep in mind: Application Development Projects are estimated in person months (calculated as the sum of number of developers assigned to a project times the amount of time each developer will need to complete their portion of the project work). Projects are not always delivered according to estimate. Some projects suffer from scope creep, some get delayed in testing and others just did not start with an accurate estimate. Plan your strategy accordingly. Select the projects from your department that you want to present to the steering committee for approval. Use the information provided to prepare your points for project justification and defend your position with the CEO and steering committee. Projects not approved for the next calendar period may be resubmitted in the future. There are a total of 40 person months available for allocation for the next period (I.T. development resources available for allocation). . Be succinct with your presentation of projects for approval. Provide the rank order of importance of projects you are submitting for approval. Also provide the ROI and several key points why the steering committee should approve your recommended projects. There are three business units requesting application development time at Big Mike's Sporting Goods. They include the Inventory Management Department, Sales and Marketing, and the Finance Department. The CFO feels that I.T. knows best how to allocate I.T. projects and requested I.T. to make recommendations as well. While you represent one of four departments seeking application development resources, you also serve on the I.T. Steering Committee. You need to review every departments requests and be prepared to ask questions about the projects for which they seek approval. You seek to have your projects approved, but you will vote on all projects along with the other steering committee members. Background Big Mike's Sporting Goods is a wholesaler of sporting goods products to independent sporting goods retailers. These retailers affiliate with Big Mike's to take advantage of volume pricing and distribution services. Big Mike's stocks over 40,000 items in order to offer a great selection of products, Big Mike's also provides assistance to the retailers with other elements of running their businesses. They provide marketing and advertising programs. Big Mike's also provides point-of-sale computer systems. The independent Copyright 2007. Michael Allendorf retailers are not obligated to purchase services from Big Mike's. Almost all of the affiliated sporting goods retailers use the Big Mike's name as their brand identity. Outside analysts agree that there are some pressing issues facing Big Mike's. Big box retailers are popping up everywhere, intensifying competitive pressure. Big Mike's really needs to build sales as they have been relatively flat for several years. A focus on sales is essential to take back some lost market share. In addition to building sales, strong expense control is always critical given Big Mike's razor thin wholesale margins. Competitors believe that Big Mike's decided to focus on the retail end of their business. Even though Big Mike's is a wholesaler, their retail affiliates are their only customers. The success of their retail affiliates drives the success of Big Mike's. However, Big Mike's does not have ownership in their retail affiliates and does not directly share in the retail profits. They only make money on their wholesale sales and from fees generated for providing services. Here is a summary of the requests/recommendations from each of the four departments. They each have three application development projects to present for selection. 1) Inventory Management Department a) Inventory Maintenance System: This system is used to start new items in inventory. Key functionality includes the ability add, change or delete inventory data. This data includes vendor information, cost, description, case pack, shipping unit, weight and other key item information. The Inventory Maintenance System feeds data to many other systems and has been around for almost 30 years. The system requires some manual effort, which is time consuming and prone to errors. When errors occur, they can negatively impact many other systems like invoicing. The system is somewhat restrictive as far as adding new data fields. This will particularly be a problem in the future when RFID (Radio Frequency Identification) data may need to be added to the system. b) Import Management: There is no existing import management system. To remain competitive, Big Mike's has been globally sourcing a growing number of products. A third party company has been handling the logistics. However, the business has been changing. Many of the traditional smaller items imported by Big Mike's are casy to handle through a third party logistics company, but growth categories in stationary home exercise products like Treadmills and multi-station weight machines pose new problems. These categories are bulky and expensive to handle. The third party provider is not cost effective and may not be able to handle the projected 25 percent growth per year anticipated for these categories. This project could be delayed until the next period, but doing so is risky and leaves no room for development delays without impacting the orders for the next season's items. c) Item Synchronization: This project is part of an industry initiative to synchronize or standardize product information. Item synchronization will reduce data errors in the supply chain creating substantial savings from unnecessary error related expenses. Big Mike's is one of the retail companies leading the charge for item synchronization. Many of their vendor partners are already working on the 2 Chpyright 2007. Michael Alendor project and they are counting on Big Mike's to create the systems for the new data formats. This project would compliment a new Inventory Maintenance System, allowing for seamless, error free electronic loading and updating of data. The combination of the two systems represents even more incremental savings. 2) Sales and Marketing a) Customer Loyalty Program: This project would enable affiliated retailers to offer a loyalty program to their customers. There is no doubt that loyalty programs have been successful in building sales and Big Mike's retail affiliates have lobbied hard for Big Mike's support. This project is particularly challenging because an investment in a new data warehouse will be capital intensive. Most of the Return on Investment (ROI) will be gained at retail, but the big expense will fall on Big Mike's. Marketing is convinced that this program is key to the long- term survival of Big Mike's retail affiliates in an ever increasing competitive retail environment. This could be just the edge they need to greatly improve the success of their retail affiliates. b) Market Identification System (MIS): The MIS is an exciting opportunity. This system will greatly increase the accuracy of identifying markets for new retail affiliate stores of Big Mike's. There is no doubt that the three biggest components of retail success are location, location and location. The MIS system will help Big Mike's grow market share at a faster rate with far less risk of site failure. This will definitely attract new retail customers to Big Mike's, growing wholesale sales by adding successful new stores. This system will make a huge impact on future revenue growth. c) Gift Card Program: One of the hottest sales drivers this last holiday season was the gift card. The popularity of gift cards has been sky rocketing for the last three years. Sales and Marketing at Big Mike's have been recommending an investment in a gift card system since they started to take off three years ago. Now just about every retailer has them. Big Mike's is feeling pressure from their affiliated retailers and from the end consumers. They are losing business because their affiliated stores can not accept gift cards. In a highly competitive market, no good business person could tolerate something that turns customers away. Customers like gift cards and Big Mike's does not provide them. Sales and Marketing can not let this project get voted down again. Gift cards create a sales opportunity and would close a negative perception building amongst customers. There is one roadblock to success. Marketing will need to get all of the independent stores to implement the technology necessary to run this program at retail. 3) Finance a) Sarbanes Oxley (SOX) Compliance: The board of directors audit committee has strongly recommended this project to put Big Mike's in compliance with SOX legal requirements. Finance has to make this project happen, as it is the law. Fines could total as much as $500,000 per year. Finance needs lead-time on completing this project so they can test the system through outside auditors. 3 Copyright 2017. Michael J. Altendor Technically, this project could be done during the next period, but then there would be little time for outside auditors to review the output before the legal deadline is reached. b) Upgrade the Accounting System: The accounting system used by Big Mike's is a third party software package. The third party package has had an upgrade available for four years. They will no longer support the release level that Big Mike's currently operates. No problems are anticipated with the software. However, the new upgrade would improve accuracy and productivity in the Accounting Department Accounting also insists that the upgrade would help with SOX compliance. This upgrade was actually approved last year as a project, but got delayed when an emerging business need caused reallocation of development time. c) Invoice Scanning: This project will allow for the scanning of invoices for electronic storage and retrieval. Many invoices are already transmitting electronically (EDI), but thousands of invoices from smaller companies still arrive on paper. The Finance Department contracted with an out-source service five years ago to scan invoices. They spend $200,000 per year with this company. Bringing the scanning in house would save this money and the project will pay for itself in 18 months. 4) Information Technology (I.T.) a) Outbound Scanning: 1.T. knows the technology needs of Big Mike's. They have identified an opportunity to automate a significant function in their warehouse operations. By utilizing bar-codes and scanners, the picking and filling of orders can be done more quickly. This process would also reduce training time and reduce errors. Scanning will be a big-time money saver for the company. More accurate order till will also increase sales as affiliated retailers would stop using secondary sources of supply and give Big Mike's a larger percentage of their business. Wow! Saving expenses and building sales creates a compelling case for this project. I.T. is confident that distribution will love this new system if the steering committee selects the project for approval. b) Replenishment System: I.T. has identified another potential big win for Big Mike's. At a recent trade show they found a great new replenishment system which is guaranteed to reduce inventory while improving their fill rate (the percentage of an order that is filled increases with a reduction in inventory stock outs). Again, this is another opportunity to free up cash for the Big Mike's while reducing inventory expense and investment. The improved fill rate will also improve sales. The I.T. group is excited about finding this software and can not wait to share the good news with the folks in inventory management. c) Web-based Human Resources (HR) Management: The HR department never gets any development time approved. They have been desperate for a new system to manage employee data, time clock and payroll. Compared to I.T. developing this project from scratch, the web-based system is relatively easy and cost effective to implement. Plus, I.T. has been itching to learn more about web-based applications. This could lead to future I.T. savings and satisfied business units. 4 Copyright 20007. Michael J. Alundari ROI Rank Inventory Management Department Person Months = The amount of application development time/resource needed. Each person month is valued at $9,000. Total development cost depreciated over 3 years. ROI = Return on Investment. (The investment includes development time, capital and software expense. Return includes anticipated value in time savings, expense reduction, and/or increase in profits.) Dept. Rank - Priority ranking of what the requesting department would like done. Project Person Dept Months Inventory Maintenance: Most of the savings to generate ROI comes 10 from saving manual effort on the part of staff, but no reduction in headcount is anticipated. This system is way over due for replacement. The system restricts further automation and innovation because it lacks flexibility due to an old architecture. Capital annualized depreciation = $65,000 Annual savings in productivity (with no headcount reduction planned) = $113,000 Import Management: This is high priority. You have to be able to 10 handle the growing sales of large/bulky items. You have no other option for handling the products. The ROI is based on saving the expense of your third party logistics partner. Measuring the impact on sales is difficult Up until now you have been getting the sales. However, not completing the project may mean giving up the sales altogether. You simply can not move, track, and bill for the product with your current systems. Capital and 3d party software annualized depreciation= $750,000 Internal development is needed to complete the coding Annual benefit from increased bottom line profits by being able to continue to grow sales = $897,000 Item Synchronization: This is very important to improve accuracy and 10 efficiency. ROI is high partly because there are no capital requirements, just programming. You are a leader in making this happen in the industry. Annual benefit from error reduction = $40,000 The Inventory Management Department has been allocated 20 person months of development time every period for as long as you can remember. With any luck you can get one extra project approved and get all three of your projects going. 5 Copyright 2007 Mic Altendo Sales and Marketing Department Person Months = The amount of application development time/resource needed. Each person month is valued at $9,000. Total development cost depreciated over 3 years. ROI = Return on Investment, (The investment includes development time, capital and software expense. Return includes anticipated value in time savings, expense reduction, and/or increase in profits.) Dept. Rank = Priority ranking of what the requesting department would like done. Project Person ROI Dept. Months Rank Customer Loyalty Program: In order to implement a customer loyalty 10 program a data warehouse must be purchased and implemented. The data warehouse will be used to track customer loyalty points, sales data, and to provide shopping basket analysis. The system will provide tons of retail data never seen before by the wholesaler. No project like this has ever been approved before. The capital expense is high. However, Marketing is sure that the retailers will benefit a great deal. They estimate the ROI at retail to be 150%. Unfortunately, the return at wholesale is indirect while most of the expenses are taken on by Big Mike's. Capital annualized depreciation = $1,500,000 3 party software annualized depreciation and maintenance $2,000,000 (plus internal development cost) Annual increase in net profit - $4,175,000 Market Identification System: Finding great retail sites has long been 10 more art than science. This has led to the occasional failure of a store due to selecting the wrong location. This new system adds a good deal of science to finding the best location through the use of demographic data, competitive data, and market trends. Opening new stores means lots of sales at wholesale to fill opening orders. Plus, more stores mean more business long-term. Capital annualized depreciation plus annual 3" party software maintenance expense = $500.000 Internal development costs are for integration and user interface Annual benefit in net profit from increased sales = $752,500 Gift Card: This is a market driven competitive necessity. The project 10 has low technical risk with most of the components available in the market. All I.T. needs to do is some integration work. You are tempted to hire this work done on the outside just to take it off your plate as an issue. Annual subsidy expense for necessary equipment at retail (to help retailers accept the new technology) $1,500,000 Annual benefit (increased net profit at wholesale) = $1,800,000 The Sales and Marketing Department have not always had a lot of needs from I.T. However, they now have some important projects they need done. Growing sales is your job and is important for the company. However, you are not sure if the CEO and CFO think that growing sales is more important than expense control. You also have the extra challenge that your projects represent more profit dollars to your retail affiliates than they do to Big Mike's direct success. 6 Copright 2. Mhe. Altendor Finance Department Person 10 Person Months = The amount of application development time/resource needed. Each person month is valued at $9,000. Total development cost depreciated over 3 years. ROI = Return on Investment. (The investment includes development time, capital and software expense. Return includes anticipated value in time savings, expense reduction, and/or increase in profits.) Dept. Rank = Priority ranking of what the requesting department would like done. Project ROI Dept. Months Rank Sarbanes Oxley: Who can argue with the law? This project needs to 10 be done. The only question, should it be done this period or next? There are a lot of great projects being presented. You would feel more comfortable leaving ample testing time for this project both internally and with the external auditors. There may be no ROI to calculate as this system only represents incremental costs without dollar benefits. Upgrade Accounting System: Time has run out and the current level of software will no longer be supported. ROI comes from some gain in productivity. Plus, this project can be done for only 10 person months this period only if done with the SOX project. If done separately, it will be 15 person months in the future. 3rd party annualized upgrade expense = $50,000 No incremental capital is required Internal development time is for customization and integration While difficult to measure, estimated annual increase in productivity is $84,000 Invoice Scanning: This one saves the company real dollars and therefore the ROI is solid. I.T. is not aware yet, but you already told your out-source company that you will not need their services after next year since you will be developing the capability internally. Capital annual depreciation + 3 party annual software expense = $150,000 Internal development is for the user interface and integration Annual savings from outsource termination = $200,000 Finance has not had many I.T. projects approved in recent periods. You feel that the company owes your department the opportunity to address your I.T. needs. You have let others go ahead of you in the past. 10 7 Copyright 2007. Michael I. Allende I.T. Department Person Months = The amount of application development time/resource needed. Each person month is valued at $9,000. Total development cost depreciated over 3 years. ROI = Return on Investment. (The investment includes development time, capital and software expense. Return includes anticipated value in time savings, expense reduction, and/or increase in profits.) Dept. Rank = Priority ranking of what the requesting department would like done. Project Person ROI Dept. Months Rank Outbound Scanning: I.T. is really excited about this project. You 10 know it will be a winner. The technology is new and will be fun to learn and implement. The ROI is solid and will represent real dollar savings. All you need to do is convince distribution folks that it is time for this type of system. Capital annualized expense (scanning terminals) = $1,500,000 3rd party software annualized depreciation and maintenance = $200,000 in addition to development costs) Annual savings on labor and value of improved accuracy is estimated at $3,230,000 Replenishment System: This project is even more exciting than the 10 scanning project. This will require a Unix based server and the company currently does not have any Unix servers. Even with the introduction of a new technology, the ROI is outstanding. Capital annualized depreciation = $30,000 3 party software annualized depreciation and maintenance = $2,000,000 + (internal development primarily for integration) Annual value of improved inventory management = $2,740,000 Web-based HR Management System: This project also would 10 introduce new technology to the team. You know this will be very useful as many other solutions can be accomplished with web-based systems that would be of great benefit to Big Mike's. Annual fee for using web-based system = $80,000 Internal development for data base and integration Annual improvement in productivity = $123,500 IT knows their stuff when it comes to the implementation of technology. Your team has done the research and these projects will all be big contributors to improving company results. You know that you can appeal to the CEO with the high ROI's. 8 8 Copyright 2017. Michael J. Ale