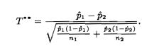
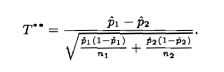
Question: Binomial data gathered from more than one population are often presented in a contingency table. For the case of two populations, the table might look


Binomial data gathered from more than one population are often presented in a contingency table. For the case of two populations, the table might look like this:


Step by Step Solution
There are 3 Steps involved in it
Get step-by-step solutions from verified subject matter experts
