Question: BUSI-1003 Midtem midterm 2021(1: E - Excel A *0108 9173000.com ta JO ALI FERD E : : Insmet D f A 6 E F H


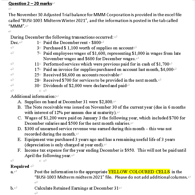
BUSI-1003 Midtem midterm 2021(1: E - Excel A *0108 9173000.com ta JO ALI FERD E : : Insmet D f A 6 E F H M N K Liabilities 6 Assets P Shareholder Equity Retained Earnings AR and Accred Interest 10 200 Supplies Inventory Accumlased Nate Depreciate Receivable Equipmen: Equipment 20.000 24,000 (12,000) A/P and Unearned Wages Actual Ravenue Payable 16.790 1.000 Common Stock 29,300 Retained Earnings 11.040 Lard 10,800 Revenues Expenses Dividends 3,530 3,300 6 6 Date at Nov 30 1 11 3 12 7 13 11 14 17 15 25 16 28 17 30 13 19 20 C 21 22 F 23 F 24 G H 26 Ending Balance 27 28 29 30 31 32 25 3,530 10 200 3,300 20.000 24,000 (12,000) 10,800 16.790 3000 1,000 28,000 11040 33 34 Q2 + 22 110% EL C A 8:24 2021/2/24 10 Question 2 -20 marks The November 30 Adjusted Trial balance for MMM Corporation is provided in the excel file called "BUSI-1003 Midterm Winter 2021", and the information is posted in the tab called "MMM". During December the following transactions occurred: Dec. 14 Paid the December rent - $8004 3+ Purchased $ 1,100 worth of supplies on account 7 Paid employees wages of $1,600, representing $1,000 in wages from late November wages and $600 for December wages.- 11 Performed services which were previous paid for in cash of $1,7004 17 Paid an invoice for supplies purchased on account last month, $4,000 25 Received $8,600 on accounts receivable 284 Received $ 700 for services to be provided in the next month. 304 Dividends of $2,000 were declared and paid tttttt ) Additional information: A. Supplies on hand at December 31 were $2,800.- B. The Note receivable was issued on November 30 of the current year (due in 6 months with interest of 12% per annum due at maturity). C. Wages of $1,200 were paid on January 3 the following year, which included $ 700 for December salaries and $500 for the next month salaries. D. $300 of unearned service revenue was earned during this month this was not recorded during the month." E. Equipment was purchased 3 years ago and has a remaining useful life of 3 years (depreciation is only charged at year end). F. Income tax expense for the year ending December is $950. This will not be paid until April the following year. Required a. . Post the information to the appropriate YELLOW COLOURED CELLS in the "BUSI-1003 Midterm midterm 2021" file. Please do not add additional columns." b. Calculate Retained Earnings at December 314
Step by Step Solution
There are 3 Steps involved in it
Get step-by-step solutions from verified subject matter experts
