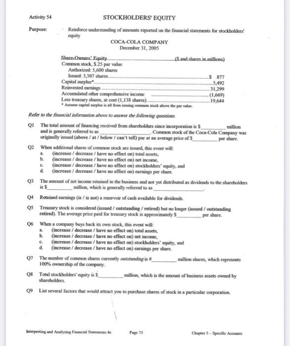
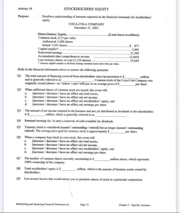
Finance Questions and Answers July 30, 2024

Expert-verified solutions to help you succeed

Showing 1 - 100 of 1504
  • 1 / 16