General Management Questions and Answers June 23, 2011

Expert-verified solutions to help you succeed

Showing 400 - 500 of 1535
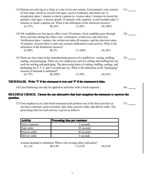
  • 5 / 16