Question: c) Exercise 2: Step 9. What is the Cost per Equivalent Unit? See circle on the printed exercise. d) Exercise 2: After ALL of the
c) Exercise 2: Step 9. What is the Cost per Equivalent Unit? See circle on the printed exercise.
d) Exercise 2: After ALL of the entries for Exercise 2 have been recorded, what is the final account balance in the Work in Process- Finishing account? See circle on printed exercise. PLEASE SHOW ANSWER





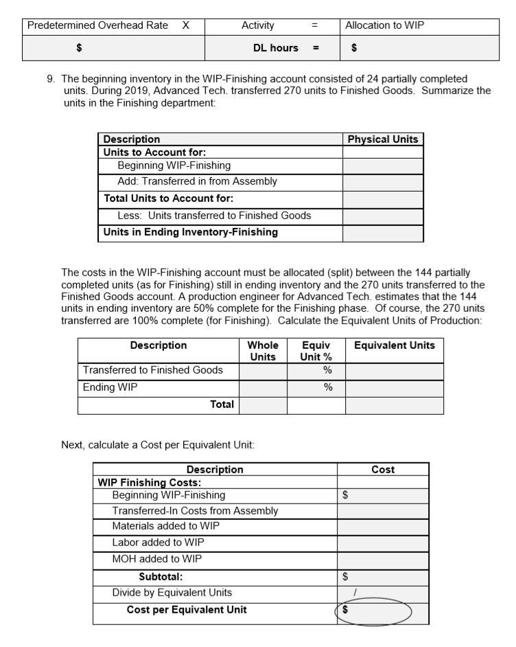
PROCESS COST SYSTEM: Weighted Average Method: Carefully review the completed example below. Then, use these concepts to complete Exercise 2 that follows. Completed Example: Advanced Technologies produces notebook computers in two departments: Assembly and Finishing. During both the Assembly and Finishing stages, Direct Materials, Direct Labor and Manufacturing Overhead are incurred and tracked using a process costing system (weighted average method). Consistent with a process costing system, the flow of costs are tracked by stage (ie, department) rather than by job or cost object. Assembly --------- Finishing --------- Finished Goods The T-accounts that follow the problem steps display the beginning account balances in the relevant accounts as of January 15, 2019. Note that there are two Work-in-Process (WIP) accounts, one for each department (Assembly and Finishing). The beginning balances in these accounts represent the partially completed inventory carried over from December to January. Use a process cost system to record the following entries for the Assembly dept in the T-accounts (last page) for the year 2019 1. Advanced Tech, used cash to purchase raw materials in the amount of $78,000 2. Transferred $56,000 of raw materials to the Assembly department for use in the assembly phase. 3. Paid $98,000 cash to Assembly department employees who work directly with the product. 4. Advanced Tech, uses Direct Labor Hours to estimate a Predetermined Overhead Rate at the start of each year. Advanced estimates total Manufacturing Overhead costs to be $119,600 for 2019 with estimated Direct Labor Hours of 26,000 hrs. Start by calculating the Predetermined Overhead Rate for 2019: Estimated MOH Estimated Activity Base = Predetermined Overhead Rate $ 119,600 26,000 Direct Labor hrs = $4.60 per DL hour The Assembly department incurred 14,000 of direct labor hours during 2019. Use the rate above to calculate overhead for the WIP-Assembly account and record the entry. L Activity = Allocation to WIP Predetermined Overhead Rate X $ 4.60 14,000 DL hours = $ 64,400 5. The beginning inventory in the WIP-Assembly account consisted of 45 partially completed units. Another 430 units were started in the Assembly department in 2019. Advanced Tech. transferred 390 units to the Finishing department during 2019. Summarize the units in Assembly department: Physical Units 45 Description Units to Account for: Beginning WIP-Assembly Add: Units Started Total Units to Account for: Less: Units transferred to Finishing Units in Ending Inventory 430 475 The costs in the WIP-Assembly account must be allocated (split) between the 85 partially completed units (as for Assembly) still in ending inventory and the 390 units transferred to the Finishing department. A production engineer for Advanced Tech. estimates that the 85 units in ending inventory are 60% complete for the Assembly phase. Of course, the 390 units transferred are 100% complete (for Assembly). Calculate the Equivalent Units of Production: Description Equivalent Units Whole Units 390 85 475 Transferred to Finishing Ending WIP Total Equiv Unit % 100% 60% 390 51 441 Next, calculate a Cost per Equivalent Unit: Cost Description WIP Assembly Costs Beginning WIP-Assembly Materials added to WIP Labor added to WIP MOH added to WIP Subtotal: Divide by Equivalent Units Cost per Equivalent Unit (rounded) $ 23,400 56,000 98,000 64,400 $ 241,800 1441 $ 548.30 Finally, use the Cost per Equivalent Unit above to allocate the total assembly costs and record the necessary entry to credit WIP-Assembly and debit WIP-Finishing: Description Transferred Units Ending WIP TOTAL Equiv. Units 390 51 X X X Cost per Unit $ 548.30 $ 548.30 = = = Allocated $ 213,837 27,963 $ 241,800 EXERCISE 2: Now, record the following entries for the Finishing department for 2019. Use the T- accounts on the last page. If you get stuck, be sure to carefully review the previous example and the text and other resources. 6. Transferred $42,000 of raw materials to the Finishing department for use in the Finishing phase. 7. Paid $74,000 cash to Finishing department employees working directly with the product. 8. The Finishing department incurred 11,000 of direct labor hours during 2019. Use the same Predetermined Overhead Rate (calculated in the completed example above) to allocate overhead to the WIP-Finishing account and record the entry. Predetermined Overhead Rate X Activity = Allocation to WIP DL hours = 9. The beginning inventory in the WIP-Finishing account consisted of 24 partially completed units. During 2019, Advanced Tech, transferred 270 units to Finished Goods. Summarize the units in the Finishing department: Physical Units Description Units to Account for: Beginning WIP-Finishing Add: Transferred in from Assembly Total Units to Account for: Less: Units transferred to Finished Goods Units in Ending Inventory-Finishing The costs in the WIP-Finishing account must be allocated (split) between the 144 partially completed units (as for Finishing) still in ending inventory and the 270 units transferred to the Finished Goods account. A production engineer for Advanced Tech, estimates that the 144 units in ending inventory are 50% complete for the Finishing phase. Of course, the 270 units transferred are 100% complete (for Finishing). Calculate the Equivalent Units of Production: Description Whole Units Equiv Unit % Equivalent Units Transferred to Finished Goods Ending WIP Total Next, calculate a Cost per Equivalent Unit: Cost $ Description WIP Finishing Costs: Beginning WIP-Finishing Transferred-In Costs from Assembly Materials added to WIP Labor added to WIP MOH added to WIP Subtotal: Divide by Equivalent Units Cost per Equivalent Unit Finally, use the Cost per Equivalent Unit above to allocate the total finishing costs and record the necessary entry to credit WIP-Finishing and debit Finished Goods: Equiv. Units X X X Description Transferred Units Ending WIP TOTAL Cost per Unit $ $ = = Allocated $ 10. Advanced Tech, used cash to pay $115,400 for actual manufacturing overhead costs. 11. Sold 120 units for $192.000 cash. The cost of goods sold was $136.080 ($1,134 x 120 units). 12. Closed the balance in Manufacturing Overhead to Cost of Goods Sold. Cash Bal:385,000 (1)78,000 (3)98,000 WIP-Assembly Bal:23,400 (5)213,837 (2)56,000 (3)98,000 (4)64,400 WIP-Finishing Bal:7,391 (5)213,837 Manufacturing Overhead Bal: 0 (4)64,400 Sales Cost of Goods Sold Raw Materials Inventory Bal:25,000 (2)56,000 (1)78,000 Finished Goods Bal:2,800
Step by Step Solution
There are 3 Steps involved in it
Get step-by-step solutions from verified subject matter experts
