Question: Exercise 2: Step 9. What is the Cost per Equivalent Unit? See circle on the printed exercise. Exercise 2: After ALL of the entries for
Exercise 2: Step 9. What is the Cost per Equivalent Unit? See circle on the printed exercise.
Exercise 2: After ALL of the entries for Exercise 2 have been recorded, what is the final account balance in the Work in Process- Finishing account? See circle on printed exercise.



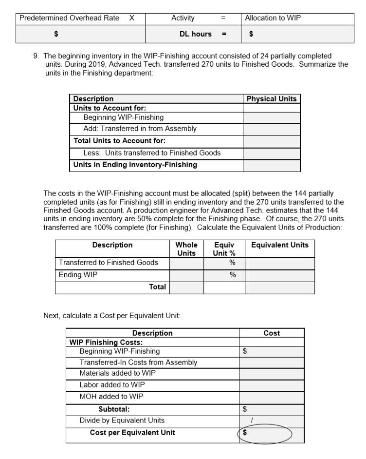
EXERCISE 2: Now, record the following entries for the Finishing department for 2019. Use the T- accounts on the last page. If you get stuck, be sure to carefully review the previous example and the text and other resources. 6. Transferred $42,000 of raw materials to the Finishing department for use in the Finishing phase. 7. Paid $74,000 cash to Finishing department employees working directly with the product. 8. The Finishing department incurred 11,000 of direct labor hours during 2019. Use the same Predetermined Overhead Rate (calculated in the completed example above) to allocate overhead to the WIP-Finishing account and record the entry. Predetermined Overhead Rate X Activity = Allocation to WIP DL hours = 9. The beginning inventory in the WIP-Finishing account consisted of 24 partially completed units. During 2019, Advanced Tech, transferred 270 units to Finished Goods. Summarize the units in the Finishing department: Physical Units Description Units to Account for: Beginning WIP-Finishing Add: Transferred in from Assembly Total Units to Account for: Less: Units transferred to Finished Goods Units in Ending Inventory-Finishing The costs in the WIP-Finishing account must be allocated (split) between the 144 partially completed units (as for Finishing) still in ending inventory and the 270 units transferred to the Finished Goods account. A production engineer for Advanced Tech, estimates that the 144 units in ending inventory are 50% complete for the Finishing phase. Of course, the 270 units transferred are 100% complete (for Finishing). Calculate the Equivalent Units of Production: Description Whole Units Equiv Unit % Equivalent Units Transferred to Finished Goods Ending WIP Total Next, calculate a Cost per Equivalent Unit: Cost $ Description WIP Finishing Costs: Beginning WIP-Finishing Transferred-In Costs from Assembly Materials added to WIP Labor added to WIP MOH added to WIP Subtotal: Divide by Equivalent Units Cost per Equivalent Unit Finally, use the Cost per Equivalent Unit above to allocate the total finishing costs and record the necessary entry to credit WIP-Finishing and debit Finished Goods: Equiv. Units X X X Description Transferred Units Ending WIP TOTAL Cost per Unit $ $ = = Allocated $ 10. Advanced Tech, used cash to pay $115,400 for actual manufacturing overhead costs. 11. Sold 120 units for $192.000 cash. The cost of goods sold was $136.080 ($1,134 x 120 units). 12. Closed the balance in Manufacturing Overhead to Cost of Goods Sold. Cash Bal:385,000 (1)78,000 (3)98,000 WIP-Assembly Bal:23,400 (5)213,837 (2)56,000 (3)98,000 (4)64,400 WIP-Finishing Bal:7,391 (5)213,837 Manufacturing Overhead Bal: 0 (4)64,400 Sales Cost of Goods Sold Raw Materials Inventory Bal:25,000 (2)56,000 (1)78,000 Finished Goods Bal:2,800 IIII EXERCISE 2: Now, record the following entries for the Finishing department for 2019. Use the T- accounts on the last page. If you get stuck, be sure to carefully review the previous example and the text and other resources. 6. Transferred $42,000 of raw materials to the Finishing department for use in the Finishing phase. 7. Paid $74,000 cash to Finishing department employees working directly with the product. 8. The Finishing department incurred 11,000 of direct labor hours during 2019. Use the same Predetermined Overhead Rate (calculated in the completed example above) to allocate overhead to the WIP-Finishing account and record the entry. Predetermined Overhead Rate X Activity = Allocation to WIP DL hours = 9. The beginning inventory in the WIP-Finishing account consisted of 24 partially completed units. During 2019, Advanced Tech, transferred 270 units to Finished Goods. Summarize the units in the Finishing department: Physical Units Description Units to Account for: Beginning WIP-Finishing Add: Transferred in from Assembly Total Units to Account for: Less: Units transferred to Finished Goods Units in Ending Inventory-Finishing The costs in the WIP-Finishing account must be allocated (split) between the 144 partially completed units (as for Finishing) still in ending inventory and the 270 units transferred to the Finished Goods account. A production engineer for Advanced Tech, estimates that the 144 units in ending inventory are 50% complete for the Finishing phase. Of course, the 270 units transferred are 100% complete (for Finishing). Calculate the Equivalent Units of Production: Description Whole Units Equiv Unit % Equivalent Units Transferred to Finished Goods Ending WIP Total Next, calculate a Cost per Equivalent Unit: Cost $ Description WIP Finishing Costs: Beginning WIP-Finishing Transferred-In Costs from Assembly Materials added to WIP Labor added to WIP MOH added to WIP Subtotal: Divide by Equivalent Units Cost per Equivalent Unit Finally, use the Cost per Equivalent Unit above to allocate the total finishing costs and record the necessary entry to credit WIP-Finishing and debit Finished Goods: Equiv. Units X X X Description Transferred Units Ending WIP TOTAL Cost per Unit $ $ = = Allocated $ 10. Advanced Tech, used cash to pay $115,400 for actual manufacturing overhead costs. 11. Sold 120 units for $192.000 cash. The cost of goods sold was $136.080 ($1,134 x 120 units). 12. Closed the balance in Manufacturing Overhead to Cost of Goods Sold. Cash Bal:385,000 (1)78,000 (3)98,000 WIP-Assembly Bal:23,400 (5)213,837 (2)56,000 (3)98,000 (4)64,400 WIP-Finishing Bal:7,391 (5)213,837 Manufacturing Overhead Bal: 0 (4)64,400 Sales Cost of Goods Sold Raw Materials Inventory Bal:25,000 (2)56,000 (1)78,000 Finished Goods Bal:2,800
Step by Step Solution
There are 3 Steps involved in it
Get step-by-step solutions from verified subject matter experts
