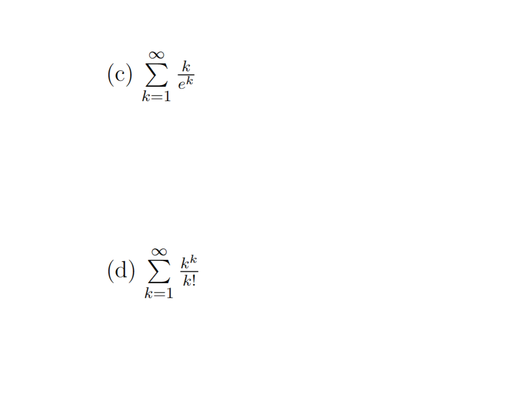
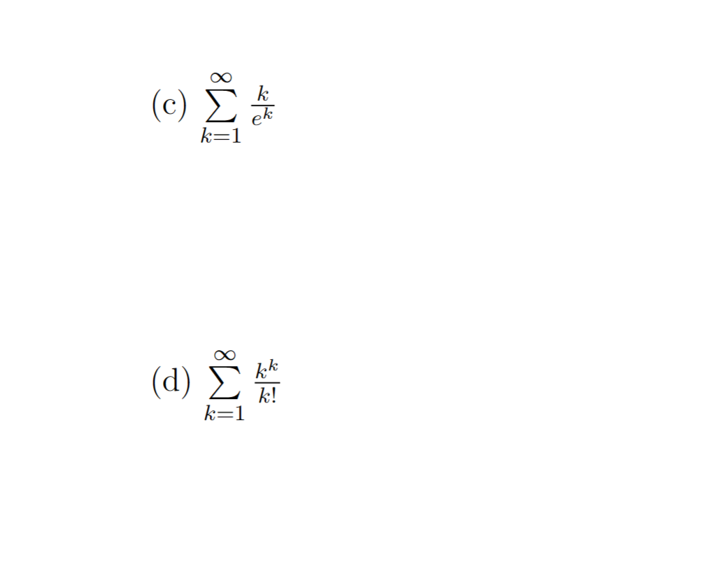
Question: (c) (P)Determine Whether the series converges 0r diverges. Evaluate the series, if possible




(c) (P)Determine Whether the series converges 0r diverges. Evaluate the series, if possible
Step by Step Solution
There are 3 Steps involved in it
1 Expert Approved Answer
Step: 1 Unlock
Question Has Been Solved by an Expert!
Get step-by-step solutions from verified subject matter experts
Step: 2 Unlock
Step: 3 Unlock
