Question: this is the form requirement Writing: Solutions should be presented in a balanced form, combining words and sen- tences which explain the line of reasoning,






this is the form requirement






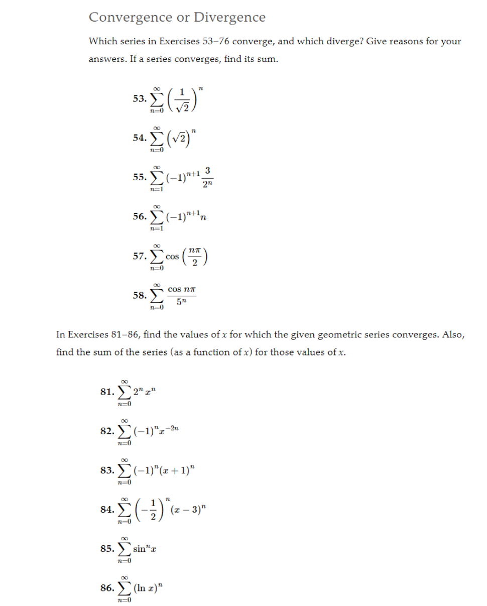
Writing: Solutions should be presented in a balanced form, combining words and sen- tences which explain the line of reasoning, and also precise mathematical expressions, formulas and references justifying the steps you are taking are correct. In general, you must give a precise reason for why a sequence is divergent or convergent. Similarly, if the sequence is converge, please justify to the best of your ability the claimed limit in your answer. If you are using theorems in lecture and in the textbook, make that reference clear. (E.g. specify nameumber of the theorem and section of the book. )Telescoping Series In Exercises 3944, find a formula for the nth partial sum of the series and use it to determine whether the series converges or diverges. If a series converges, find its sum. 39% 1 1 ' n n+1 11:1 Find the sum of each series in Exercises 45-52. 4 45. n=1 (4n - 3) (4n + 1) 6 46. n=1 (2n - 1) (2n + 1) 40n 47. iM : (2n - 1) (2n + 1)2 2n + 1 48. i8 n=in2 (n +1)2 49. Vn+ IM: 50. 21 21/(n+1) iM8 51. 1 1 n=1 In (n + 2) In (n + 1) 00 52. ) (tan 1 (n) - tan 1 (n + 1))Convergence 0r Divergence Which series in Exercises 5376 converge, and which diverge? Give reasons for your answers. If a series converges, nd its Sum. CO 1 1T 53. (_) m TI 54. 2 (v6) n20 \"'0 n+1 3 55. 2(4) F n=1 In Exercises 3186. find the values of x for which the given geometric series converges. Also, find the sum of the series (as a function of x) for those values of x. (33 31. Z 2\" x" 110 Oil 32. Z (1)n2:_2" 11:0 33. Z (13%: + 1)" 34. i (319: _3)n ' pplying the Integral Test se the Integral Test to determine Whether the series in Exercises 112 converge or diverge. 'e sure to check that the conditions of the Integral Test are satisfied. 0" 1 1.23:2 S." M m s\" Determining Convergence or Divergence Which of the series in Exercises 1346 converge, and which diverge? Give reasons for your answers. (When you check an answer, remember that there may be more than one way to determine the series' convergence or divergence.)
Step by Step Solution
There are 3 Steps involved in it
Get step-by-step solutions from verified subject matter experts
