Question: (C programming) Given a mathematical function (, ) defined as follows a) Write a C function Comp_H(float, float) that receives 2 real numbers x and
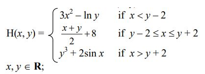
(C programming) Given a mathematical function (, ) defined as follows

a) Write a C function Comp_H(float, float) that receives 2 real numbers x and y, computes and returns the value of H(x, y).
b) Write a program using the C function Comp_H(float) to compute the values of H(x, y) at the following inputs: (-2, 5), (-1.5, 4), (-1, 3), , (5, -9), (5.5, -10), (6, -11) (the difference between 2 successive x numbers is 0.5, between 2 successive y numbers is -1), then store all outputs in array B.
c) Display all B's elements in ascending order.
For example:
H(x, y) = 3x? - In y if x
Step by Step Solution
There are 3 Steps involved in it
Get step-by-step solutions from verified subject matter experts
