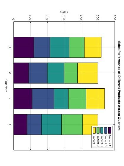
Question: c.6 Matlab code needed for the given plot along with the explanation. Sales Performance of Different Products Across Quarters

c.6 Matlab code needed for the given plot along with the explanation.
Sales Performance of Different Products Across Quarters
Step by Step Solution
There are 3 Steps involved in it
Get step-by-step solutions from verified subject matter experts
