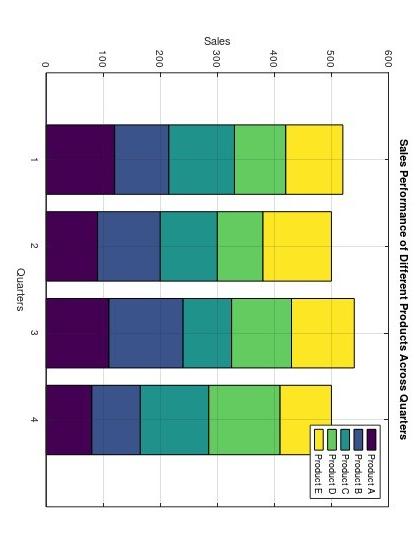
Question: b.6 Give the matlab code along with the explanation for the given plot. Sales Performance of Different Products Across Quarters

b.6 Give the matlab code along with the explanation for the given plot.
Sales Performance of Different Products Across Quarters
Step by Step Solution
There are 3 Steps involved in it
Get step-by-step solutions from verified subject matter experts
