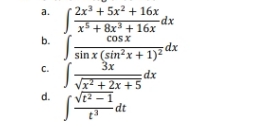
Question: calculate the integral value below ! . calculate the integrals a. 2x3+ 5x-+ 16x dx x + Br + 16x b. COSX sin x (sin
calculate the integral value below ! . calculate the integrals

a. 2x3+ 5x-+ 16x dx x + Br + 16x b. COSX sin x (sin x + 1)2 dx 3x dx x + 2x+5 d. V/12 - 1 dt
Step by Step Solution
There are 3 Steps involved in it
Get step-by-step solutions from verified subject matter experts
