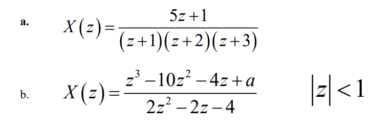
Question: Calculate the inverse Z transform using two different methods: Direct division to find the first five samples and partial fractions to obtain the closed expression:

Calculate the inverse Z transform using two different methods: Direct division to find the first five samples and partial fractions to obtain the closed expression:

Step by Step Solution
There are 3 Steps involved in it
Get step-by-step solutions from verified subject matter experts
