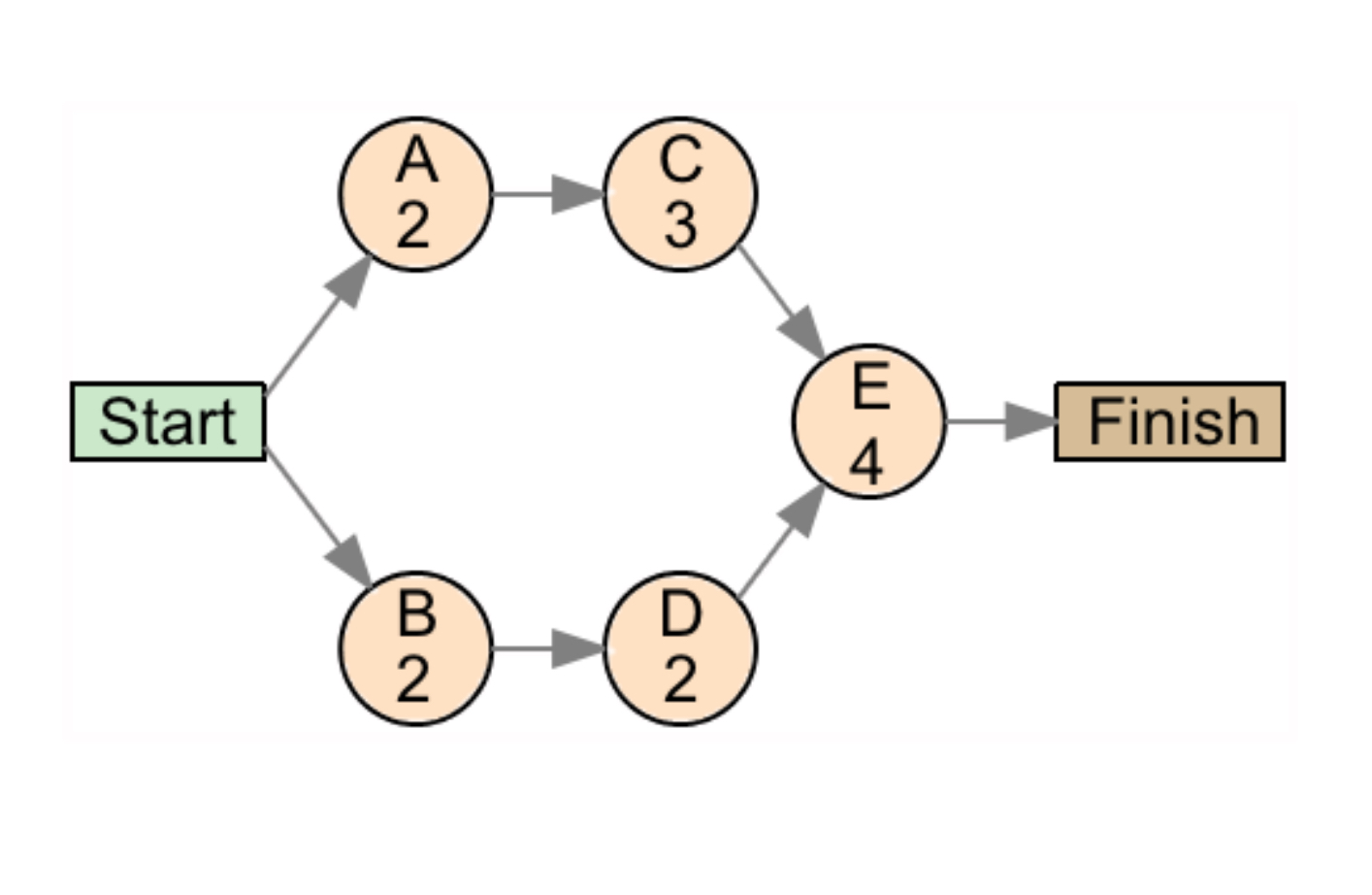
Question: . Calculate the slack for each activity. ( Enter your responses as integers . ) Slack ( s ) Activity A enter your response here
Calculate the slack for each activity. Enter your responses as integers
Slack
s
Activity
A
enter your response here
B
enter your response here
C
enter your response here
D
enter your response here
E
enter your response here
Step by Step Solution
There are 3 Steps involved in it
1 Expert Approved Answer
Step: 1 Unlock
Question Has Been Solved by an Expert!
Get step-by-step solutions from verified subject matter experts
Step: 2 Unlock
Step: 3 Unlock
