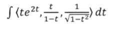
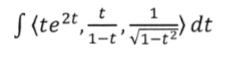
Question: Calculus question Please answer ASAP!!!!!! J (teet t

Calculus question Please answer ASAP!!!!!!

J (teet t
Step by Step Solution
There are 3 Steps involved in it
Get step-by-step solutions from verified subject matter experts
