Question: Can i get some help solving these question please? 9.0) Evaluate the following limits: a) lim,-of In(x) ac b) lim, of act c) lime-1 7
Can i get some help solving these question please?

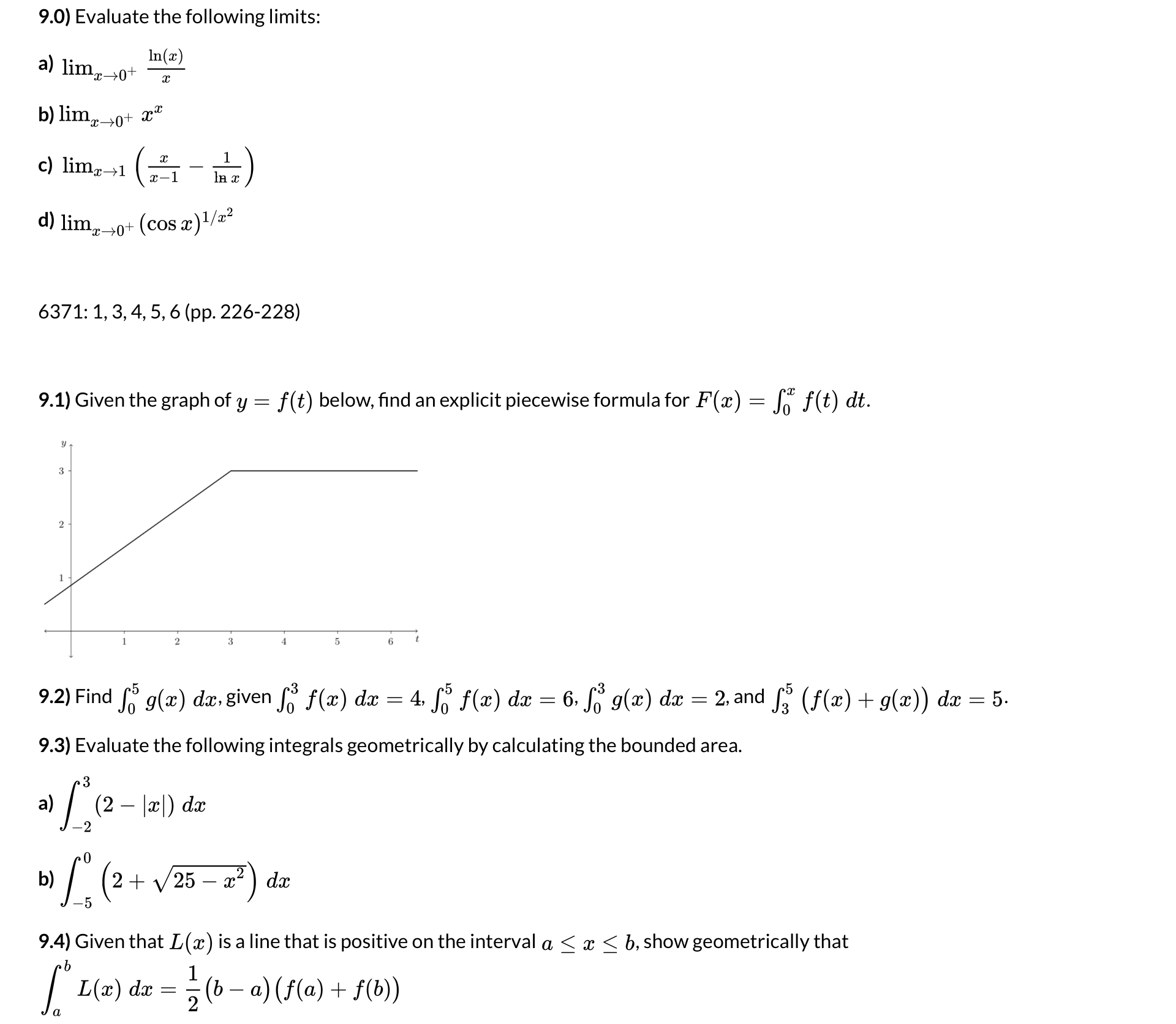
9.0) Evaluate the following limits: a) lim,-of In(x) ac b) lim, of act c) lime-1 7 1 - max d) lim,-to+ (cos ac) 1/252 6371: 1, 3, 4, 5, 6 (pp. 226-228) 9.1) Given the graph of y = f(t) below, find an explicit piecewise formula for F(x) = ST f(t) dt. 9.2) Find fo g(x) dac, given fo f(x) da = 4, So f(x) dx - 6, So g(x) da = 2, and Sy (f(x) + g(x)) dx = 5. 9.3) Evaluate the following integrals geometrically by calculating the bounded area. L , 12 - 12 ) da I Lo ( 2 + V/25 27 ) die 9.4) Given that L(a) is a line that is positive on the interval a
Step by Step Solution
There are 3 Steps involved in it
Get step-by-step solutions from verified subject matter experts
