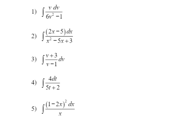
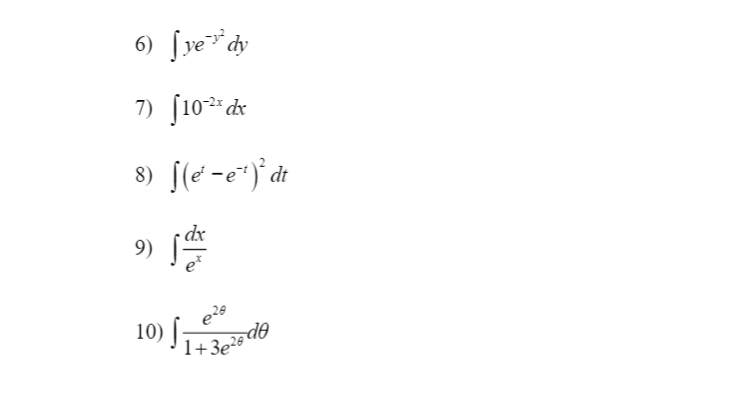
Question: Can someone answer this in step-by-step ? Please write it clearly and understandable. Evaluate the following integrals using either the logarithm or exponential functions formula.


Can someone answer this in step-by-step? Please write it clearly and understandable.
Evaluate the following integrals using either the logarithm or exponential functions formula.


Step by Step Solution
There are 3 Steps involved in it
Get step-by-step solutions from verified subject matter experts
