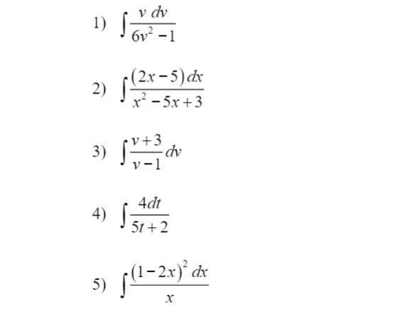
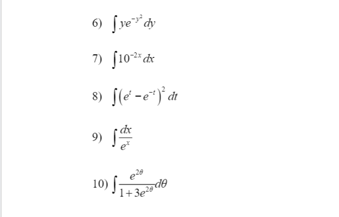
Question: Hi can someone answer this problem in step-by-step ? Please write it clearly and understandable Evaluate the following integrals using either the logarithm or exponential
Hi can someone answer this problem in step-by-step? Please write it clearly and understandable
Evaluate the following integrals using either the logarithm or exponential functions formula.


\f6) [yet dy 7) 10- dx 8) [(e -e ) dt 9 ) dx 020 10) de 1+ 3e20
Step by Step Solution
There are 3 Steps involved in it
Get step-by-step solutions from verified subject matter experts
