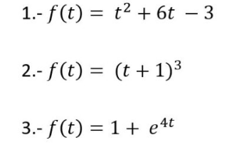
Question: can someone help me to solve this problems? Exercise. Definition of the Laplace Transform. transform the following problems: f
can someone help me to solve this problems?
Exercise. Definition of the Laplace Transform.
transform the following problems:

\f
Step by Step Solution
There are 3 Steps involved in it
Get step-by-step solutions from verified subject matter experts
