Question: can you give solution linear programing y , x12 , x15 , x25 , x31 , x32 , x41 , x42 , x43 , x53

can you give solution linear programing y , x12 , x15 , x25 , x31 , x32 , x41 , x42 , x43 , x53 , x54 with Excel solver?
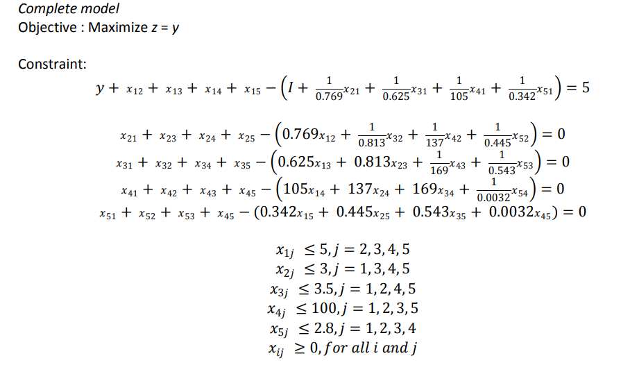
Complete model Objective : Maximize z = y Constraint: y + x12 + x13 + x14 + x15 (1 + 0.769*21 + .625*31 + 105*4 + 0.342*s) = 5 X21 + x23 + x24 + x25 (0.769x12 + 12x32 + 135442 + 2x52) = 0 x31 + x32 + x34 + x35 (0.625x13 + 0.813x23 + 169843 + 0.543453) = 0 X41 + x2 + x^3 + x45 - (105x14 + 137x24 + 169x34 + 0.0037*54) = 0 X51 + X52 + X53 + x45 (0.342x15 + 0.445x25 + 0.543x35 + 0.0032x45) = 0 1 X1j 0, for all i and jStep by Step Solution
There are 3 Steps involved in it
Get step-by-step solutions from verified subject matter experts
