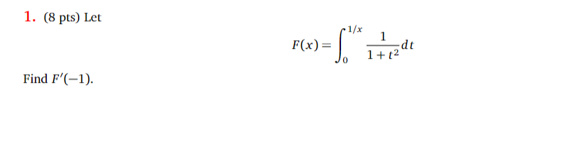
Question: Can you help me? I'm doing definite integrals, the fundamental theorem of calculus, and indefinite integrals. f2. (10 pts) Consider the following limit of a




Can you help me? I'm doing definite integrals, the fundamental theorem of calculus, and indefinite integrals.
![different possible definite integrals]. 3. (10 pts) A cyclist rides down a](https://s3.amazonaws.com/si.experts.images/answers/2024/06/6667d209076f7_0086667d208eaa80.jpg)



\f2. (10 pts) Consider the following limit of a Riemann sum: 3i :1 3 F 1 11m (J 1 + Express the limit as possible definite integrals {give at least two different possible definite integrals]. 3. (10 pts) A cyclist rides down a long straight road at a velocity (in m/min) given by v(t) = 400-20t, for t 2 0, where t is measured in minutes. (a) Where is the cyclist after 25 min?(b) What is the total distance traveled by the cyclist travel after 25 min
Step by Step Solution
There are 3 Steps involved in it
1 Expert Approved Answer
Step: 1 Unlock
Question Has Been Solved by an Expert!
Get step-by-step solutions from verified subject matter experts
Step: 2 Unlock
Step: 3 Unlock
