Question: Can you please help me answer problem 2 along with graphing it? Thanks so much in advance! Solve the following linear programming models graphically, AND


Can you please help me answer problem 2 along with graphing it? Thanks so much in advance!
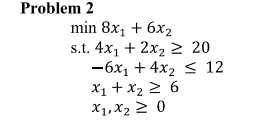
Solve the following linear programming models graphically, AND answer the following questions for each model: - Shade the feasible region. - What are the extreme points? Give their (x1,x2)-coordinates. - Plot the objective function on the graph to demonstrate where it is optimized. - What is the optimal solution? - What is the objective function value at the optimal solution? Problem 2 min8x1+6x2s.t.4x1+2x2206x1+4x212x1+x26x1,x20
Step by Step Solution
There are 3 Steps involved in it
Get step-by-step solutions from verified subject matter experts
