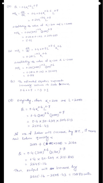
Question: can you type it by computer ? (a) Q = 0.4k^0.6 L^0.7 MP_k = d theta/d k = 04 times 0.6 k^0.6 - 1 L^0.7
(a) Q = 0.4k^0.6 L^0.7 MP_k = d theta/d k = 04 times 0.6 k^0.6 - 1 L^0.7 = 0.24 k^-0.4 L^0.7 the value of k = 200 and L = 2000 MP_k = 0.24 (300)^-0.4 (2000)^0.7 = 0.24 times 0.102 times 204.513 = 5.01 (b) MP_L = d theta/d L = 0.4 times 0.7 L^0.7 - 1 k^0.6 = 0.28 L^- 0.3 k^0.6 substituting the value of k = 300 & L = 2000 MP_L = 0.28(2000)^-0.3 (300)^0.6 = 0.28 times 0.102 times 30.639 = 0.88 (c) The estimated equation represents increasing returns to scale because 0.6 + 0.7 = 1.3 > 1 (d) Originally, when k = 300 and L = 2000 Q = 0.4 k^0.6 L^0.7 = 0.4 (300)^0.6 (2000)^0.7 = 0.4 times 30.639 times 204.513 =2506.43 If use of labor will increase by it means now labor quantity 2000 + (0.08 times 2000) = 2160 Q = 0.4(300)^0.6 (2160)^0.7 = 0.4 times 30.639 times 215.833 = 2645.16 Thus output will increase by 2645.16 - 2506 43 = 138.73
Step by Step Solution
There are 3 Steps involved in it
Get step-by-step solutions from verified subject matter experts
