Question: Case 4 Using the information in case no. 3 prepare balance sheet of Al Zawaya construction LLC (8 marks) Balance Sheet as at 31 December,
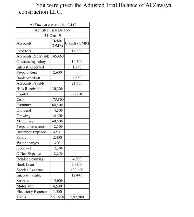
Case 4 Using the information in case no. 3 prepare balance sheet of Al Zawaya construction LLC (8 marks) Balance Sheet as at 31" December, 2019 You were given the Adjusted Trial Balance of Al Zawaya construction LLC. Al Zawaya construction LLC Adjusted Trial Balance 31-Dec-19 Debits Accounts (OMR) Credits (OMR) 14.300 14,500 1,750 4,350 21,350 379,010 Creditors Accounts Receivable 145,450 Outstanding salary Interest Received Prepaid Rent 2,600 Bank overdraft Accounts Payable Bills Receivable 30,200 Capital Cash 175,500 Furniture 64,500 Dividend 14,500 Drawing 34,500 Machinery 60,500 Prepaid Insurance 12,300 Insurance Expense 4500 Salary 2,400 Water charges 400 Goodwill 12,300 Office Expenses 12.250 Retained earnings Bank Loan Service Revenue Interest Payable Supplies 15,000 Motor Van 4,500 Electricity Expense 1,500 Totals 5,92,9001 4.300 20,500 120,400 12,440 5,92,900
Step by Step Solution
There are 3 Steps involved in it
Get step-by-step solutions from verified subject matter experts
