Question: check for time invariance and linearity ( d ^ ( 2 ) z ) / ( dt ^ ( 2 ) ) + ( c
check for time invariance and linearity
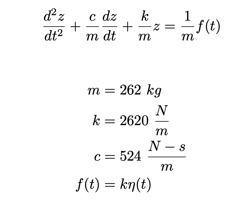
dzdtcmdzdtkmzmft
mkg
kNm
cNsm
ftketa t
Step by Step Solution
There are 3 Steps involved in it
1 Expert Approved Answer
Step: 1 Unlock
Question Has Been Solved by an Expert!
Get step-by-step solutions from verified subject matter experts
Step: 2 Unlock
Step: 3 Unlock
