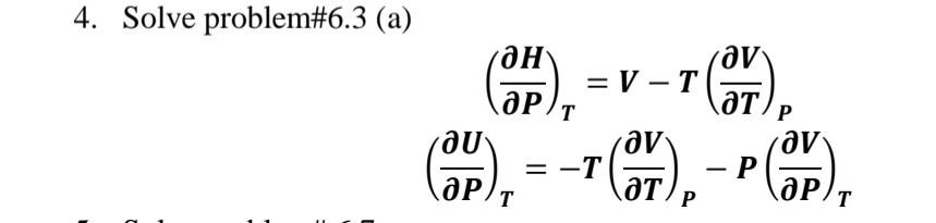
Question: Chemical Engineering Thermodynamics 4. Solve problem#6.3 (a) P (). = V v- (), (89). (G),- (), . . T - P 6.3. Express the following
Chemical Engineering Thermodynamics


4. Solve problem#6.3 (a) P (). = V v- (), (89). (G),- (), . . T - P 6.3. Express the following in terms of U, H, S, A, and their derivatives. (O(G/(RT)) @G ), a7
Step by Step Solution
There are 3 Steps involved in it
Get step-by-step solutions from verified subject matter experts
