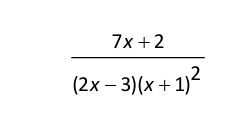
Question: code class = asciimath > ( 7 x + 2 ) / ( ( 2 x - 3 ) ( x + 1 ) ^
code class"asciimath"xxx Express the equations in partial fractions
Step by Step Solution
There are 3 Steps involved in it
1 Expert Approved Answer
Step: 1 Unlock
Question Has Been Solved by an Expert!
Get step-by-step solutions from verified subject matter experts
Step: 2 Unlock
Step: 3 Unlock
