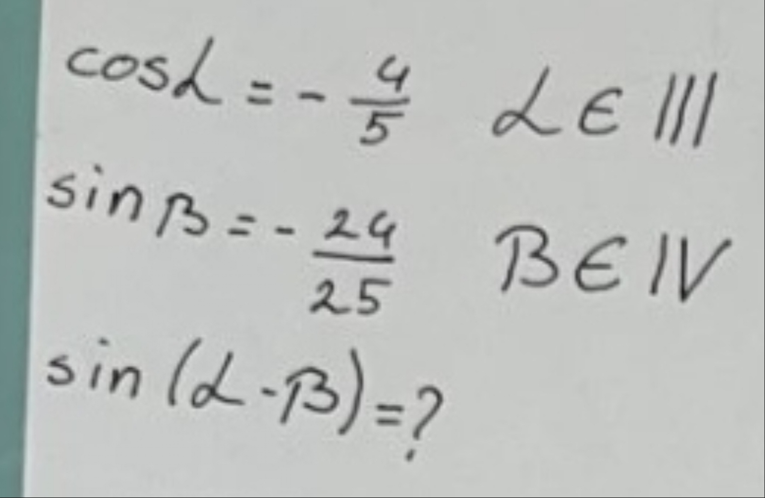
Question: code class = asciimath > cos alpha = - ( 4 ) / ( 5 ) , sin beta = - ( 2
code class"asciimath"cosalpha sinbeta sinalphabeta
Step by Step Solution
There are 3 Steps involved in it
1 Expert Approved Answer
Step: 1 Unlock
Question Has Been Solved by an Expert!
Get step-by-step solutions from verified subject matter experts
Step: 2 Unlock
Step: 3 Unlock
