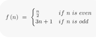
Question: code class = asciimath > f ( n ) = { ( ( n ) / ( 2 ) if n is even ) ,
code class"asciimath"fnn if n is even n if n is odd :
Step by Step Solution
There are 3 Steps involved in it
1 Expert Approved Answer
Step: 1 Unlock
Question Has Been Solved by an Expert!
Get step-by-step solutions from verified subject matter experts
Step: 2 Unlock
Step: 3 Unlock
