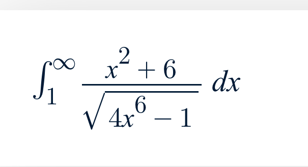
Question: code class = asciimath > int _ 1 ^ ( infty ) ( x ^ ( 2 ) + 6 ) / (
code class"asciimath"intinfty xsqrtxdx does this converge or diverge?
Step by Step Solution
There are 3 Steps involved in it
1 Expert Approved Answer
Step: 1 Unlock
Question Has Been Solved by an Expert!
Get step-by-step solutions from verified subject matter experts
Step: 2 Unlock
Step: 3 Unlock
