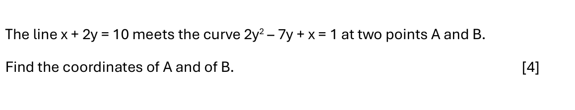
Question: code class = asciimath > The line x + 2 y = 1 0 meets the curve 2 y ^ ( 2 ) - 7
code class"asciimath"The line xy meets the curve yyx at two points A and B Find the coordinates of A and of B
Step by Step Solution
There are 3 Steps involved in it
1 Expert Approved Answer
Step: 1 Unlock
Question Has Been Solved by an Expert!
Get step-by-step solutions from verified subject matter experts
Step: 2 Unlock
Step: 3 Unlock
