Question: coding problem the equations are Using python, c, Fortran, Mathematica, maple or any other programming language that you are comfortable with, make a plot showing
coding problem

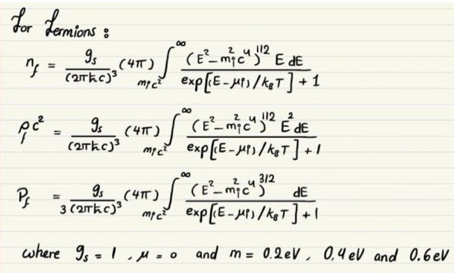
the equations are

Using python, c, Fortran, Mathematica, maple or any other programming language that you are comfortable with, make a plot showing the evolution of n, pc? and P. as a function of temperature kT/mc- for the case of a distribution of fermions with masses m = 0.2eV, m = 0.4eV and m = 0.6eV. Assume j = 0 and gs = = 1. for Lermions : 112 no = 9 CE?_mic^)"? E de (4T) s (arkc)3 mp ce exp[E - Mrs/kq7 ] + 1 95 CE-micu"? de (41) (211 kc)3 mpct exp[E-mps / 7] + 1 9s s Ce-mi cu 5h2 de () mpact exp[E - MP3 / 687] +1 PE 3 [21kcj; (47) where Is = 1. M - 0 and m = 0.2eV, 0,4 eV and 0.6 eV Using python, c, Fortran, Mathematica, maple or any other programming language that you are comfortable with, make a plot showing the evolution of n, pc? and P. as a function of temperature kT/mc- for the case of a distribution of fermions with masses m = 0.2eV, m = 0.4eV and m = 0.6eV. Assume j = 0 and gs = = 1. for Lermions : 112 no = 9 CE?_mic^)"? E de (4T) s (arkc)3 mp ce exp[E - Mrs/kq7 ] + 1 95 CE-micu"? de (41) (211 kc)3 mpct exp[E-mps / 7] + 1 9s s Ce-mi cu 5h2 de () mpact exp[E - MP3 / 687] +1 PE 3 [21kcj; (47) where Is = 1. M - 0 and m = 0.2eV, 0,4 eV and 0.6 eV
Step by Step Solution
There are 3 Steps involved in it
Get step-by-step solutions from verified subject matter experts
