Question: Complete this assignment showing all work, save as a single .pdf, and upload back to its D2L Assignment folder. 1. Determine the convergence or
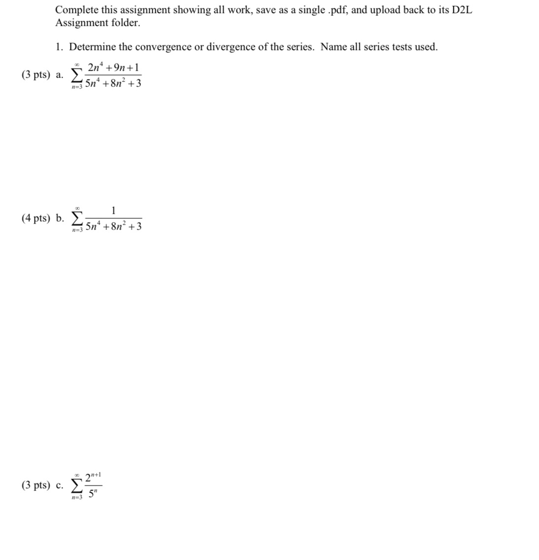
Complete this assignment showing all work, save as a single .pdf, and upload back to its D2L Assignment folder. 1. Determine the convergence or divergence of the series. Name all series tests used. (3 pts) a. n=3 2n +9n+1 Sn4 +8n +3 (4 pts) b. n=3 Sn4 1 +8n +3 (3 pts) c. M8 -3 2"+1 5"
Step by Step Solution
There are 3 Steps involved in it
Get step-by-step solutions from verified subject matter experts
