Question: Compound Interest - Please include the whole solution, not just the direct answers. fProblems Involving Compound Interest 1. Joseph borrows 150,000.00 and promise to pay
Compound Interest - Please include the whole solution, not just the direct answers.




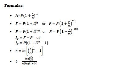
\fProblems Involving Compound Interest 1. Joseph borrows 150,000.00 and promise to pay the principal and interest at 12% compounded monthly. How much must he repay after 6 years? Solution: Given: P = P50,000.00 m = 12 r = 12% or 0.12 1 = 6 years 0.12 = 0.01 n = mt = 12(6) = 72 12 F = P(1+0)" F = P50,000.00(1 + 0.01}72 F = P102, 354.97 Therefore, Joseph must repay 1102,354.97 after 6 years. 2. A loan P125,000.00 at 8% compounded quarterly was paid back with an amount of P176,000.00 at the end of the period. For how long was the money borrowed? Solution: Given: P = P125,000.00 7 = 8% or 0.08 F = P176,000.00 1 = 4 0.08 = 0.02 log (=) m[log(1 + ()] P176,000.00 log P125,000.00 4[log(1 + 0.02)] t =4.2 years Therefore, the money was borrowed for 4.32 years.Formulas: . F = P(1+ 1)" or F = P(1+-) -mi . P = F(1+1)-" or P = F(1+5) m. It = F -P or I = P[(1 + ()" - 1] .r=m ()-1 Log( mllog( 1+0] where le - compound interest P - present value of F 7 - annual interest rate t - time (per year) F - compound amount or maturity(future) value m - conversion period annually m = 1 semi-annually m = 2 quarterly m = 4 monthly m = 12 in - total number of conversion periods (n = mt) i - periodic rate (i = !)Direction: Answer the following questions. Write your answer on a separate sheet of paper. A. Vince deposited P2,000.00 in a bank that pays 1.5% compounded annually. Complete the table below. Time Amount at the start of Rate (r) Compound Amount at (t) the year Interest the end of the year 1 P2,000.00 1.5% P30.00 P2,030.00 2 P2,000.00 1.5% (1) (2) 3 (3) 1.5% P91.36 (4) 4 P2,000.00 1.5% (5) P2,122.73 B. In a certain bank, Angelo invested 1250,000.00 in a time deposit that pays 8% compound interest in a year. How much will be his money after 5 years? How much interest will he gain
Step by Step Solution
There are 3 Steps involved in it
Get step-by-step solutions from verified subject matter experts
