Question: Solve what is asked in each item. Write your complete solutions and answers on a whole sheet of paper. 1.) Find the final or compound
Solve what is asked in each item. Write your complete solutions and answers on a whole sheet of paper.
1.) Find the final or compound amount or maturity (future) value of ?15,900.00 at 5.5% interest compounded annually for 18 months.
2.) Find the interest on ?25,750.00 for 3 years at 8% compounded quarterly.
3.) Find the present value of ?150,000.00 at 15% interest compounded monthly for 6 years.
4.) At what rate of interest compounded semi-annually will ?21,590.00 accumulate to ?26,900.00 in 2 years?
5.) How long will it take for ?3,700.00 accumulate to ?6,900.00 at 4.5% compounded quarterly?
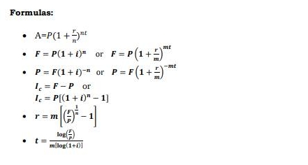
References/Examples:



\fProblems Involving Compound Interest 1. Joseph borrows 150,000.00 and promise to pay the principal and interest at 12% compounded monthly. How much must he repay after 6 years? Solution: Given: P = P50,000.00 m = 12 r = 12% or 0.12 1 = 6 years 0.12 = 0.01 n = mt = 12(6) = 72 12 F = P(1+0)" F = P50,000.00(1 + 0.01}72 F = P102, 354.97 Therefore, Joseph must repay 1102,354.97 after 6 years. 2. A loan P125,000.00 at 8% compounded quarterly was paid back with an amount of P176,000.00 at the end of the period. For how long was the money borrowed? Solution: Given: P = P125,000.00 7 = 8% or 0.08 F = P176,000.00 1 = 4 0.08 = 0.02 log (=) m[log(1 + ()] P176,000.00 log P125,000.00 4[log(1 + 0.02)] t =4.2 years Therefore, the money was borrowed for 4.32 years.Formulas: . F = P(1+ 1)" or F = P(1+-) -mi . P = F(1+1)-" or P = F(1+5) m. It = F -P or I = P[(1 + ()" - 1] .r=m ()-1 Log( mllog( 1+0] where le - compound interest P - present value of F 7 - annual interest rate t - time (per year) F - compound amount or maturity(future) value m - conversion period annually m = 1 semi-annually m = 2 quarterly m = 4 monthly m = 12 in - total number of conversion periods (n = mt) i - periodic rate (i = !)
Step by Step Solution
There are 3 Steps involved in it
Get step-by-step solutions from verified subject matter experts
