Question: Compute the following question, which uses java code to python using sagemathcloud. 1) In celestial mechanics, Kepler's equation is important. It reads x y-E sin
Compute the following question, which uses java code to python using sagemathcloud.
1)







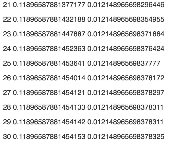
In celestial mechanics, Kepler's equation is important. It reads x y-E sin y, in which X is a planet's mean anomaly, yits eccentric anomaly, and E the eccentricity of its orbit. Taking E 0.9, construct a table of y for 30 equally spaced values of x in the interval 0? x?T. Use Newton's method to obtain each value of y. The y corresponding to an x can be used as the starting point for the iteration when x is changed slightly
Step by Step Solution
There are 3 Steps involved in it
Get step-by-step solutions from verified subject matter experts
