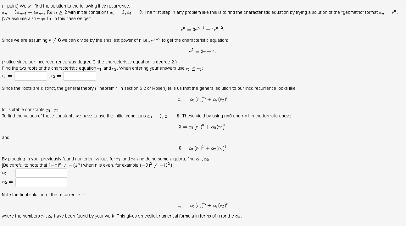
Databases Questions and Answers May 02, 2019

Expert-verified solutions to help you succeed

Showing 900 - 1000 of 1500
  • 10 / 15