Question: Conduct a simple technoeconomic analysis (TEA) on an idealized process as shown in the Process Flow schematic below. The process consists of a novel reactor

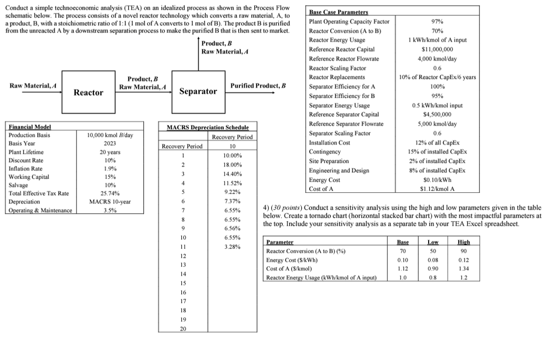
Conduct a simple technoeconomic analysis (TEA) on an idealized process as shown in the Process Flow schematic below. The process consists of a novel reactor technology which converts a raw material, A, to a product, B, with a stoichiometric ratio of 1:1 (1 mol of A converts to 1mol of B ). The product B is purified from the unreacted A by a downstream separation process to make the purified B that is then sent to market. 4) (30 points) Conduct a sensitivity analysis using the high and low parameters given in the table below. Create a tornado chart (horizontal stacked bar chart) with the most impactful parameters at the top. Include your sensitivity analysis as a separate tab in your TEA Excel spreadsheet
Step by Step Solution
There are 3 Steps involved in it
Get step-by-step solutions from verified subject matter experts
