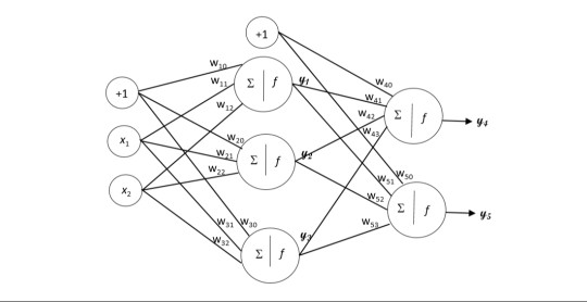
Question: Consider a feed-forward network that has two inputs, two outputs and 3 neurons in a single hidden layer. The network is shown in Figure 1


Consider a feed-forward network that has two inputs, two outputs and 3 neurons in a single hidden layer. The network is shown in Figure 1 and the activation function for all the neurons is a logistic function (i.e. unipolar binary, f(x) 1+e-x Presented with an input vector of x=[+1,xl.x2]T-[LLO' the actual output was =[y4 , y5]T-[0.6027,0.4507]T but the target output was [1.0]T. Carry out the calculations requested below (in the context of backpropagation learning using the generalized delta rule) for the network, given the following values: Wi0 0.77 200.07 w0.23 400.0 wso 0.0 W11--1.01 2-0.30 W31 -0.44 0.14 W-0.44 W12-1.05 2-0.22 Ws 0.25 20.30 Ws-0.10 W431.09 W53 0.09 Hidden layer outputs for the input vector described above are: yi-04403 y2 0.4428 y 0.4477 (a) Find . (b) Calculate w42. use a learning rate of 0.7. (c) Obtain 2. (d) Calculate w2b use a learning rate of 0.7
Step by Step Solution
There are 3 Steps involved in it
Get step-by-step solutions from verified subject matter experts
