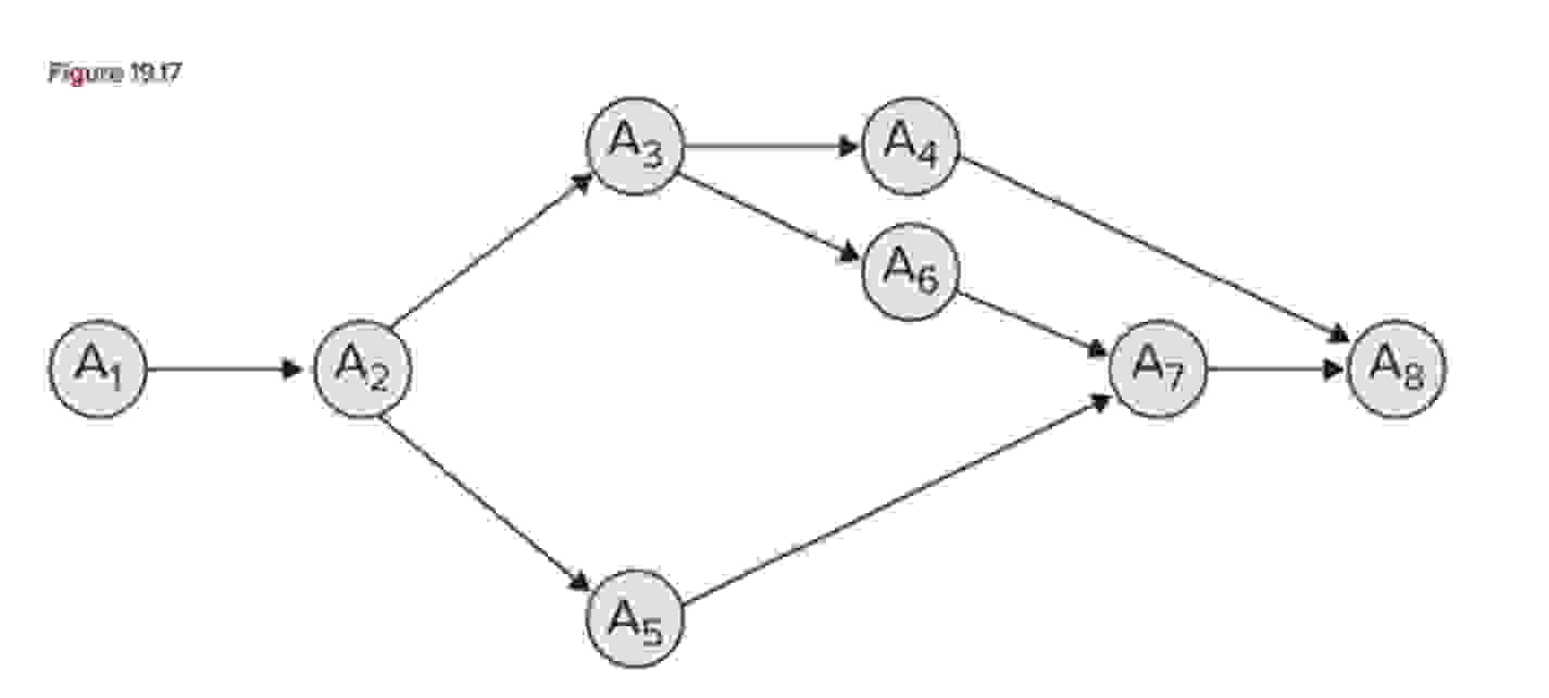
Question: Consider the AON graph of a project shown below. Which of the following statements is correct? multiple choice A 1 is a predecessor activity to
Consider the AON graph of a project shown below.
Which of the following statements is correct?
multiple choice
A is a predecessor activity to A
A is a successor activity of A Incorrect
A and A can be carried out in parallel.
All of these statements are correct.
Step by Step Solution
There are 3 Steps involved in it
1 Expert Approved Answer
Step: 1 Unlock
Question Has Been Solved by an Expert!
Get step-by-step solutions from verified subject matter experts
Step: 2 Unlock
Step: 3 Unlock
