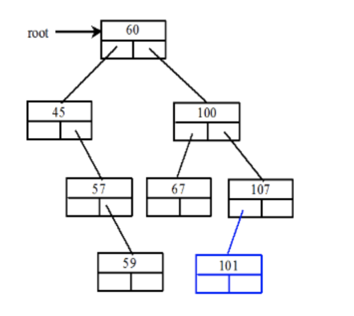
Question: Consider the following Binary Search Tree: If I am adding a new node to this tree with a value 5 2 , where should it
Consider the following Binary Search Tree:
If I am adding a new node to this tree with a value where should it be added?
As a left child of
As a left child of
As a left child of
As a left child of
Step by Step Solution
There are 3 Steps involved in it
1 Expert Approved Answer
Step: 1 Unlock
Question Has Been Solved by an Expert!
Get step-by-step solutions from verified subject matter experts
Step: 2 Unlock
Step: 3 Unlock
