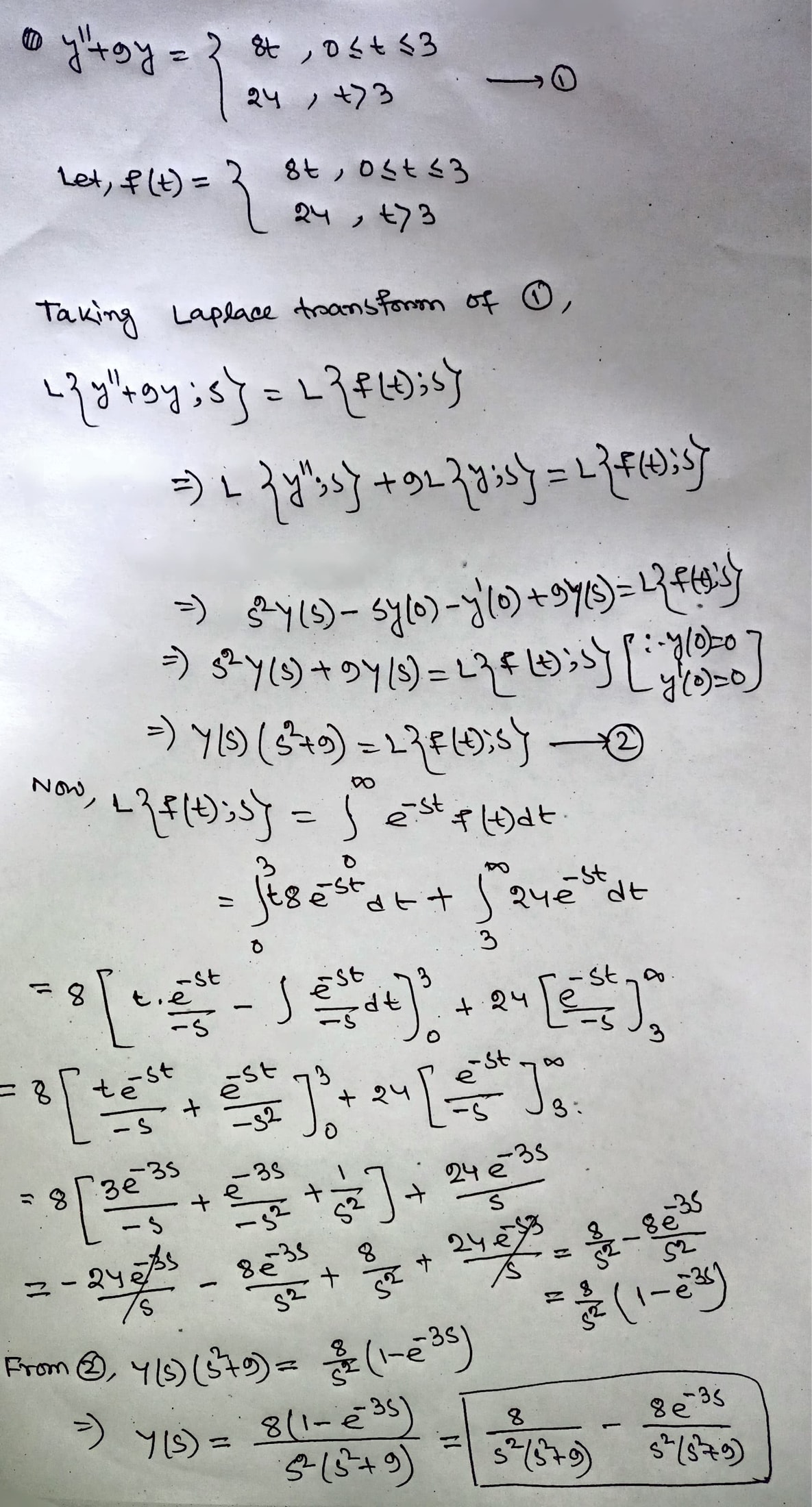
Question: Consider the following initial value problem: 18, 0 3 y(0) = 0, y(0) =0 Using Y for the Laplace transform of y(t), i.e., Y =


Consider the following initial value problem: 18, 0
Step by Step Solution
There are 3 Steps involved in it
Get step-by-step solutions from verified subject matter experts
