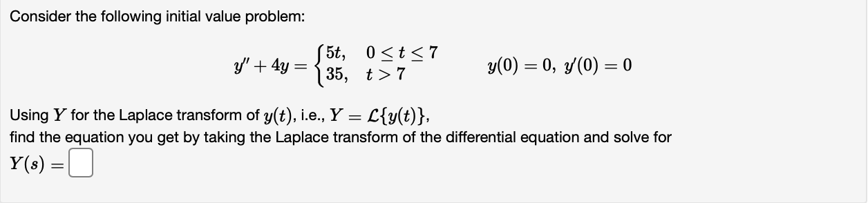
Question: Consider the following initial value problem: 5t, 0 7 y(0) = 0, y'(0) = 0 Using Y for the Laplace transform of y(t), i.e., Y

Step by Step Solution
There are 3 Steps involved in it
1 Expert Approved Answer
Step: 1 Unlock
Question Has Been Solved by an Expert!
Get step-by-step solutions from verified subject matter experts
Step: 2 Unlock
Step: 3 Unlock
