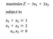
Question: Consider the following linear programming model: a) Write this model in a standard (augmented) form. (i.e. Introduce slack/surplus, artificial etc.) b) Constract the initial simplex
Consider the following linear programming model:

a) Write this model in a standard (augmented) form. (i.e. Introduce slack/surplus, artificial etc.) b) Constract the initial simplex tableau and carry on your calculations to solve this model using the simplex method. Interpret your result.
maximize Z = 3x + 2x2 subject to x + x 51 x + x2 2 2 XX220
Step by Step Solution
There are 3 Steps involved in it
Get step-by-step solutions from verified subject matter experts
