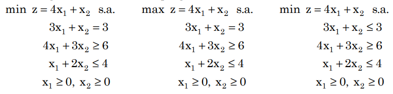
Question: Consider the following linear programming models: Solve them using the graphic method justifying each procedure s.a=subject to min z= 4x1 + x2 s.a. 3x, +x,
Consider the following linear programming models:
Solve them using the graphic method justifying each procedure
s.a=subject to
min z= 4x1 + x2 s.a. 3x, +x, = 3 4x2 + 3x, 26 X1 + 2x, 54 X, 20, x, 20 max z = 4x, +x, s.a. 3x, +x= 3 4x, +3x, 26 X1 + 2x, 54 X, 20, x, 20 min z = 4x1 + x2 s.a. 3x, +x,Step by Step Solution
There are 3 Steps involved in it
Get step-by-step solutions from verified subject matter experts
