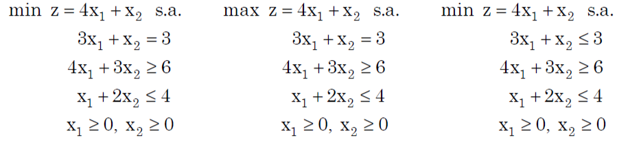
Question: Consider the following linear programming models: Solve them using the graphical method, justifying each procedure. s.a = subject to = = max 2 = 4x1
Consider the following linear programming models:
Solve them using the graphical method, justifying each procedure.
s.a = subject to
= = max 2 = 4x1 + x2 s.a. = = = min z = 4x + X2 s.a. 3x1 + x2 = 3 4x2 + 3x, 26 X1 + 2x, 54 X, 20, x, 20 3x1 + x, = 3 4x2 + 3x, 26 X1 + 2x, 54 X, 20, x, 20 min z = 4x4 + X2 s.a. 3x2 + x2Step by Step Solution
There are 3 Steps involved in it
Get step-by-step solutions from verified subject matter experts
