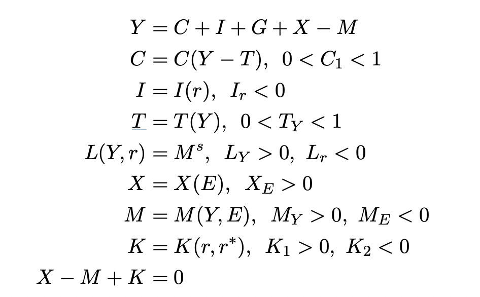
Question: Consider the following macroeconomic model Y=C+I+G+X-M MS, LY > O, Lr < O X X(E), XE>0 MY > O, ME < O KI > O,

Consider the following macroeconomic model

Y=C+I+G+X-M MS, LY > O, Lr < O X X(E), XE>0 MY > O, ME < O KI > O, < O X-M+K=O
Step by Step Solution
There are 3 Steps involved in it
Get step-by-step solutions from verified subject matter experts
