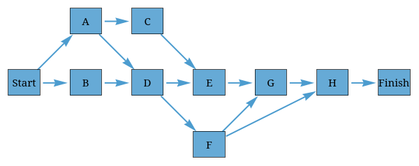
Question: Consider the following PERT/CPM network.A project network with 10 activities and 13 directed arcs is shown.
Consider the following PERT/CPM network.A project network with 10 activities and 13 directed arcs is shown.

Step by Step Solution
There are 3 Steps involved in it
Get step-by-step solutions from verified subject matter experts
